Некоторые из вас, вероятно, видали на просторах сети эту задачку: какое число продолжает следующий ряд?

Предлагался такой очевидный правильный ответ:

Для тех, кому неочевидно, как он получен, предлагалось объяснение. Пусть
(ну и 1 при x = 0, хотя неважно). Тогда каждый член ряда — это значение следующего интеграла в цепочке:

Пока всё идёт хорошо, но тут внезапно:

В принципе, этого достаточно, чтобы повеселить друзей-математиков, но мне захотелось узнать, как вообще считаются такие интегралы и почему получается такой смешной результат. Если кому-то ещё охота тряхнуть стариной и вспомнить матан с функаном, прошу читать дальше.
Начинает сказка сказываться
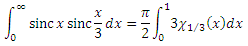
Для начала отдельно посмотрим на первый интеграл:

Некоторое время назад я подумал: «Эй, я ещё не совсем забыл матан! Дайте-ка я возьму этот интеграл как неопределённый, а потом подставлю пределы. Наверняка пару раз по частям, и дело в шляпе. Вот сейчас на бумажке всё решу без посторонней помощи». Хочу предостеречь вас: не повторяйте моей ошибки. Вас ждёт бессонная ночь, а потом вы заглянете в справочник и узнаете, что неопределённый интеграл не берётся в элементарных функциях. Для него даже специальную функцию ввели.
Однако с данными конкретными пределами взять интеграл можно разными способами. Мы пойдём путём, который требует минимум базовых знаний (самое суровое — то же интегрирование по частям). Для начала сделаем внезапную замену:

Вы спросите: откуда вообще это взялось и зачем нам ещё один интеграл, мало что ли? Спокойно, так надо (знакомые со свойствами преобразования Лапласа весело ухмыляются). Подставим замену в исходную формулу и поменяем порядок интегрирования:

Внутри получился почти классический интеграл по dx, которым всех пугали у нас в физматшколе. Его можно взять и как неопределённый, дважды использовав формулу интегрирования по частям. Тогда справа получится какая-то муть и ещё раз тот же самый интеграл, домноженный на что-то, и в результате можно будет решить уравнение относительно этого интеграла и получить ответ, а потом подставить пределы. Кому интересно, проделайте это сами, а я лениво запишу готовый результат:

Ну а теперь совсем всё просто: это табличный интеграл из средней школы, который равен арктангенсу. В бесконечности пи-пополам, в нуле — ноль, вот мы и получили ответ.
Интеграл, кстати, настолько хорош, что у него есть своё имя — интеграл Дирихле. По ссылке вы можете найти другие способы взять его.
Скоро сказка сказывается, а не скоро дело делается
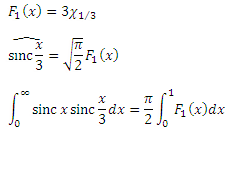
Для следующего путешествия нам понадобятся четыре вещи: прямоугольная функция, косинусное преобразование Фурье, свёртка и теорема Парсеваля. Сперва скажу пару слов об этих замечательных штуках.
Прямоугольная функция — это у нас будет такая ступенька вокруг нуля:

Значение 1/2 в точках разрыва нужно в основном для соблюдения свойств преобразования Фурье, в целом для нашей задачи оно непринципиально.
Косинусное преобразование Фурье. Для простоты мы немного отступим от математической точности и сформулируем грубовато. Для достаточно хорошей чётной функции f(x) выполняются такие соотношения:

Функция
и называется косинусным преобразованием Фурье (FCT) от f(x) (её ещё называют образом f). То есть, косинусное преобразование от косинусного преобразования даёт снова исходную функцию f(x)!
Людям, знакомым с обработкой сигналов, хорошо известно, что FCT от прямоугольной функции — это
. Это легко доказать, пользуясь вышеприведёнными формулами и школьными знаниями. Так как прямоугольная функция за пределами промежутка [-a, a] равна нулю, то можно просто интегрировать cos(xt) dt по этому промежутку, тут простая замена переменной и табличный интеграл. Приведённое выше свойство говорит, что FCT от
— это прямоугольная функция.
Свёртка — это ещё одна прекрасная штука, без которой не обходится обработка сигналов. Для двух функций f1(x) и f2(x) можно определить функцию-свёртку (обозначается звёздочкой) вот так:

У свёртки есть прекрасное свойство, за которое её любят: преобразование Фурье превращает её в умножение, а умножение — в свёртку. Если точнее, косинусное преобразование произведения двух хороших чётных функций есть свёртка их образов, делённая на корень из двух пи:
.
Теорема Парсеваля — это очень крутое утверждение о равенстве энергии сигнала и его спектра, которое записывают по-разному в разных целях. Нам потребуется такая версия: для чётных и достаточно хороших функций
.
Доселева Макар огороды копал, а нынече Макар в воеводы попал
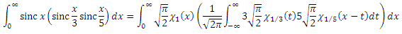
Возьмём второй интеграл из нашей чудесной последовательности. Как многие уже догадались, мы воспользуемся теоремой Парсеваля и заменим множители на их FCT-образы:

Первая прямоугольная функция под интегралом равна единице для аргументов меньше единицы и нулю для аргументов больше единицы. Поэтому ничто нам не мешает убрать её из интеграла, откорректировав пределы интегрирования:

Под интегралом осталась ступенька высотой 3 и шириной 1/3. Такой интеграл возьмёт даже третьеклассник: надо всего лишь умножить 3 и 1/3. От интеграла остаётся единица, и мы имеем искомое пи-пополам! Таким образом мы почти честно взяли второй интеграл из ряда. Кто желает сделать это совсем честно, тому придётся разобраться, что же такое хорошесть функции, и доказать, что наши функции хорошие.
Чтобы дальше было проще, обозначим эту ступеньку под интегралом как F1(x) и нарисуем её график:


Пойдём веселиться дальше и посмотрим на интеграл с тремя множителями. Чтобы применить теорему Парсеваля, мы теперь все множители со второго будем считать одним множителем:
. С образом первого множителя всё уже понятно, а образ второго множителя, выражается через свёртку:

На первый взгляд жутковато. Но можно кое-чего повыносить, кое-чего посокращать и подставить нашу F1(x). Тогда получим:

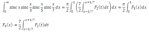
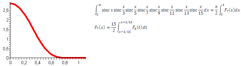
Внутренний интеграл — это просто прямоугольный фильтр, эдакий «блюр» для функции F1(x): мы просто для каждой точки усредняем все значения в окрестности плюс-минус одна пятая. Можно опять же избавиться от прямоугольной функции, подшаманив пределы интегрирования. И со внешним интегралом сделаем такую же процедуру. Вот что получится в итоге:


Слева график функции F2(x), которая на самом деле — сглаженная F1(x). Нетрудно доказать, что после сглаживания функции по нормированному ядру её интеграл не меняется. Ну, вообще-то речь об интеграле от -∞ до +∞, но для чётной функции это верно и для интеграла от нуля. В данном случае ядром была ступенька от -1/5 до +1/5, умноженная на 5/2. Площадь под ступенькой единица, значит, ядро нормировано. Тут тоже можно сравнить с блюром в фотошопе: после применения блюра картинка в целом не становится светлее или темнее. А раз так, то интеграл F2(x) в точности равен интегралу F1(x), то есть единице, поэтому и третий интеграл равен пи-пополам!
Дальше процедура во многом похожая. Четвёртый интеграл сгруппируем так:
. Сначала теорему Парсеваля, для скобок свёртку, причём мы уже умеем выразить образ внутренней скобки через F2(x). Дальше всё то же самое, что в прошлый раз, и в результате получим:


Теперь мы уже имеем F3(x), которая на самом деле — сглаженная F2(x) с ядром шириной 2/7. Ядро нормировано, значит, интеграл F3(x) равен интегралу F2(x), то есть единице, и мы снова имеем пи-пополам!
Отлично, мы теперь щёлкаем эти интегралы как орехи. Но по идее, если так и дальше пойдёт, они все до бесконечности будут равны пи-пополам? Давайте смотреть дальше. Пятый интеграл:

Вроде всё то же самое. Ладно, шестой интеграл:

И здесь никаких проблем. Хорошо, берём седьмой:

Ничего нового! Ладно, а восьмой?

Стоп-стоп-стоп! Здесь нам не обойтись без команды CSI!

Функция протекла через единицу! Интеграл F7(x) всё ещё равен единице, но это если интегрировать от 0 до ∞. А мы-то интегрируем до единицы! До сих пор все функции были нулевыми при x больше единицы, но рано или поздно это должно было кончиться.
А как понять, когда наступает конец? Это очень просто. F1(x) была ненулевой при x<1/3. F2(x) сглаживала её по ±1/5, значит, была ненулевой при x<1/3+1/5. Аналогичным образом можно найти границу ненулевых значений для всех этих функций, и для F7(x) эта граница впервые превышает единицу:

Несложно даже посчитать, сколько конкретно утекло, и тем самым вычислить точное значение восьмого интеграла. Заметим, что слева от границы F1(x) — это константа 3. F2(x) — минус интеграл этой константы с коэффициентом 5/2, то есть прямая с коэффициентом 3×5/2. F3(x) в достаточной близости к границе 1/3+1/5+1/7 — это интеграл той прямой с коэффициентом 7/2, то есть что-то вроде
. Продолжая аналогичные рассуждения, получим формулу для F7(x) в окрестности границы:

Собственно, обычная парабола шестой степени, сдвинутая и домноженная. Если проинтегрировать её от единицы и до границы 1/3+1/5+1/7+1/9+1/11+1/13+1/15, то мы узнаем, сколько функции утекло за пределы единицы. Можно решить эту задачу целиком в обыкновенных дробях. Получится вот сколько:

Если эту цифру вычесть из единицы и домножить на пи-пополам, мы получим окончательное значение восьмого интеграла:

Такие интегралы называются борвейновскими интегралами в честь Давида и Джонатана Борвейнов, которые их описали. Если вы хотите строгие математические доказательства (без всяких «хороших функций») и другие свойства этих замечательных интегралов, почитайте статью авторов.
Заключение: троллинг восьмидесятого уровня
Открыв эти интегралы, Джонатан Борвейн ввёл их в программный пакет Maple и, убедившись, что Maple корректно берёт все восемь интегралов, сообщил разработчикам о «баге»: мол, восьмой интеграл тоже должен быть пи-пополам, а у вас получается чёрт-те-что. Три дня и три ночи убил Жак Каретт, один из разработчиков Maple, в поисках ошибки, пока не понял, что над ним жестоко пошутили. А ещё говорят, что математики — скучные люди!
Автор: lany
