
Перевод поста Stephen Wolfram "Who Was Ramanujan?".
Выражаю огромную благодарность Полине Сологуб за помощь в переводе и подготовке публикации
Содержание
Удивительное письмо
Начало истории
Кем был Харди?
Письмо и его последствия
Стиль работы Рамануджана
Видеть то, что важно
Истина или объяснение
Переход в Кембридж
Рамануджан в Кембридже
Что было дальше
Что стало с Харди?
Математика Рамануджана
Факты — случайные или нет?
Автоматизация работ Рамануджана
Современные Рамануджаны?
Что было бы, если бы у Рамануджана была Mathematica?
На этой неделе вышел фильм "Человек, который познал бесконечность" (который мне показали еще прошлой осенью Манджул Бхаргава и Кен Оно), так что я не мог не написать о его главном герое — Сринивасе Рамануджане.

Удивительное письмо
Раньше они приходили по обычной почте. Сейчас — по электронной. В течение многих лет со всего мира ко мне стекаются письма, в которых содержатся смелые утверждения о простых числах, теории относительности, искусственном интеллекте, сознании и множестве других вещей. Глядя на эти сообщения, я вспоминаю историю Рамануджана и неизменно откладываю свои идеи и проекты, чтобы хотя бы просмотреть их.
Около 31 января 1913 года математик по имени Харди из Кембриджа, Англия, получил пакет документов с сопроводительным письмом, которое начиналось так: "Дорогой сэр, хочу представиться вам: я клерк из бухгалтерии порта в Мадрасе с зарплатой £20 в год. Мне 23 года....». И продолжал: писал о том, что достиг «поразительного» прогресса в теории расходящихся рядов по математике и решил давнишнюю проблему распределения простых чисел. Сопроводительное письмо заканчивалось словами: "Я беден; если вы решите, что здесь есть что-нибудь ценное, я хотел бы, чтобы мои теоремы были опубликованы… Я неопытен, и любые ваши советы ценны для меня. Прошу извинить меня за доставленные неудобства. Искренне ваш, с уважением, С. Рамануджан".
Далее следовало по крайней мере 11 страниц технических результатов из целого ряда областей математики (из которых 2 потеряны). Там было абсурдное на первый взгляд утверждение, что сумма всех положительных чисел равна -1/12:

Были утверждения, предполагающие использование своего рода экспериментального подхода в математике:

Были там и более экзотические страницы с формулами вроде этой:

Что это? Откуда они взялись? Правильны ли они?
Сами понятия должны быть хорошо знакомы человеку, изучавшему матанализ в колледже. Однако к письму были приложены не просто сложные упражнения уровня колледжа. Если присмотреться внимательно, на каждой странице письма происходит нечто совершенно необычное и неожиданное, — кажется, это математика другого уровня.
На сегодняшний день для численной проверки результатов мы можем использовать Mathematica или Wolfram | Alpha. А иногда мы можем даже просто ввести вопрос и сразу же получить ответ:

Можно убедиться (как и Г. Х. Харди в 1913 году), что формулы правильные. Однако что за человек мог их вывести? И как? Являются ли они частью более широкой картины или в каком-то смысле просто хаотичными случайными фактами из математики?








Начало истории
За этим письмом стоит замечательная история Рамануджана.
Он родился в небольшом городке в Индии 22 декабря 1887 г. (это означает, что ему было не «около 23» лет, когда он писал свое письмо Харди, а все 25). Его семья была небогатой и принадлежала к касте браминов (священников, учителей и др.). Уже в 10 лет Рамануджан явно выделялся среди прочих по результатам экзаменов в обновленной системе школьного образования. Он также был известен из-за своей исключительной памяти: он мог декламировать цифры числа пи так же хорошо, как корни санскритских слов. Когда в возрасте 17 лет он закончил среднюю школу, ему дали стипендию для обучения в колледже.
В средней школе Рамануджан начал самостоятельно изучать математику и проводить собственное исследование численной оценки постоянной Эйлера и свойств чисел Бернулли. Ему повезло, что в 16 лет (в те дни, задолго до Интернета!) он получил копию удивительно хорошего и полного (по крайней мере, по состоянию на 1886 г.) конспекта по математике для студентов высшей школы, состоявшего из 1055 страниц! Книга была написана преподавателем трехлетней программы по математике для подготовки к экзаменам в Кембридж, и его скупой формат в стиле «только факты» был очень похож на тот, что Рамануджан использовал в своем письме к Харди.


К тому времени, как Рамануджан поступил в колледж, он хотел заниматься только математикой, и в результате провалил остальные экзамены и сбежал, так что его матери пришлось даже писать в газету письмо о пропавшем без вести:
Рамануджан переехал в Мадрас (теперь Ченнаи), где пробовал учиться в разных колледжах, болел и в результате продолжил свое независимое исследование по математике. В 1909 году, когда ему был 21 год, его мама в соответствии с обычаями того времени договорилась о его свадьбе с 10-летней девочкой по имени Янаки, которая начала жить с ним пару лет спустя.
Рамануджан обеспечивал себя, занимаясь репетиторством по математике, но вскоре он стал известен в окрестностях Мадраса как математик и начал печататься в недавно запущенном Журнале Индийского математического общества. Его первая статья, опубликованная в 1911 году, была посвящена вычислительным свойствам чисел Бернулли (те же числа Бернулли, что Ада Лавлейс (см. статью "Распутывая историю Ады Лавлейс (первого программиста в истории)" на Хабре) использовала в своей статье от 1843 года про аналитическую машину). Хотя его результаты не слишком впечатляли, подход Рамануджана был интересным и оригинальным: в нем сочетались непрерывная («каково численное значение?») и дискретная («какое разложение на простые множители?») математика.

После того, как друзьям-математикам Рамануджана не удается получить ему стипендию, он начинает искать работу, и в марте 1912 года Рамануджан попадает счетоводом в порт Мадрас. Его босс — главный бухгалтер — интересовался академической математикой и стал пожизненным его сторонником. Руководителем порта Мадрас в то время был выдающийся британский инженер-строитель, так что Рамануджан через него начал взаимодействовать с некоторыми британскими экспатриантами. Они рассуждали о том, есть ли у него «способности великого математика» или же он просто «мальчик-калькулятор». Они писали профессору Хилл в Лондон, который посмотрел на ряд диковинных заявлений Рамануджана о расходящихся рядах и заявил, что "г-н Рамануждан, очевидно, человек со вкусом к математике, и даже с некоторыми способностями, но он идет по неверному пути". Хилл предложил Рамануджану изучить некоторые книги.
В то время, как друзья Рамануджана продолжали искать способ поддержать его, он решил сам начать писать британским математикам — пускай и с некоторой помощью при составлении писем на английском языке. Мы не знаем точно, кому он написал первому, хотя давний соратник Харди Джон Литтлвуд незадолго до своей смерти 64 года спустя упомянул два имени: Х. Ф. Бейкер и Е. В. Хобсон. Они оба были не слишком удачным выбором: Бейкер работал в области алгебраической геометрии, а Хобсон занимался математическим анализом: достаточно далеко от того, что делал Рамануджан. В любом случае, ни один из них не ответил.
И вот в четверг, 16 января 1913 года, Рамануждан пишет свое письмо Г.Х. Харди.
Кем был Харди?

Годфри Харолд Харди родился в 1877 году в семье школьных учителей. Жили они примерно в 30 милях к югу от Лондона. С самого начала он был лучшим учеником — особенно в области математики. Даже когда я рос в Англии в начале 1970-х, такие студенты в средней школе обычно переходили в Винчестер, а после шли в Кембридж. Именно это и сделал Харди. Другие были чуть более известными, чуть менее строгими и менее математически ориентированными — это Итон и Оксфорд (в который я поступил).
Студенты кембриджского бакалавриата занимались в то время решением витиевато сконструированных проблем исчисления (это напоминало серьезные спортивные соревнования), а в конце составлялся рейтинг студентов, занимающих в нем позиции от «Senior Wrangler» (наивысший балл) до «Wooden Spoon» (самый низкий проходной балл). Харди думал, что он будет первым на курсе, однако оказался четвертым. Он пришел к выводу, что ему больше по душе строгий и формальный подход к математике, который затем стал популярным в континентальной Европе.
Британская академическая система работала в то время (и до 1960-х годов) таким образом, что после получения высшего образования лучшие студенты могли быть избраны стипендиатами колледжа и получать стипендии даже пожизненно. Харди был в Тринити-колледже — самом большом и лучшем с научной точки зрения колледже в Кембриджском университете, а после его окончания в 1900 году он был избран стипендиатом колледжа.
Темой первой исследовательской работы Харди были интегралы, подобные этим:

В течение десяти лет Харди работал в основном над тонкостями вычисления, выяснял, как брать различные виды интегралов и их сумм, и настаивал на более строгом подходе к вопросам сходимости и перестановки пределов интегрирования.
Его работы не были ни великими, ни провидческими, однако они стали прекрасными примерами математического мастерства. Как и его коллега Бертран Рассел, он начал заниматься вскоре новой областью — трансфинитными числами, однако работает с ними недолго. Затем в 1908 году он написал учебник "Курс чистой математики" — это была хорошая и даже очень успешная в свое время книга (в предисловии к ней говорилось, что учебник предназначался студентам, чьи способности достигают уровня «стандарта стипендиата»).
К 1910 году Харди в погрузился в рутину жизни профессора Кембриджского университета и занимался академической работой. И тогда он познакомился с Джоном Литтлвудом. Литтлвуд вырос в Южной Африке и был на восемь лет моложе Харди, недавний Senior Wrangler и во многих отношениях гораздо более предприимчивый. И в 1911 году Харди, который ранее работал только сам, влился в сотрудничество с Литтлвудом, продолжавшееся остаток его жизни.
Как человек Харди производил впечатление хорошего школьника, который так никогда и не повзрослеет. Казалось, ему нравится жить в структурированной среде, концентрируясь на своих математических упражнениях. Он был очень занудным — касалось ли это подсчета баллов во время игры в крикет, доказательства отсутствия Бога или написания правил для его сотрудничества с Литтлвудом. Будучи типичным британцем, он мог бы самовыражаться с умом и обаянием, однако он был жестким и отчужденным: он даже называл себя «Г. Х. Харди», будучи «Харолдом» только с матерью и сестрой.
Таким образом, к началу 1913 года Харди был респектабельным и успешным британским математиком, заинтересованным в новом сотрудничестве с Литтлвудом, который тянул его в интересующую его область теории чисел. Но потом он получил письмо от Рамануджана.
Письмо и его последствия
Письмо Рамануджана начиналось не слишком удачно: создавалось впечатление, что он думает, что впервые описывает хорошо известную технику аналитического продолжения для обобщения таких идей и понятий, как факториал, на нецелые числа. Он заявил: "я настолько развил эти идеи в своих исследованиях, что местные математики не в состоянии понять меня и мои работы". Однако после сопроводительного письма следовало более девяти страниц, которые содержали более 120 различных математических результатов.
Вначале там были довольно расплывчатые заявления. Но на третьей странице были формулы для сумм и интегралов и прочего. Некоторые из них отдаленно напоминали те, что были в работах Харди. А некоторые из них были определенно более экзотические. Их общая структура была характерна для этих типов математических формул, однако некоторые конкретные формулы удивляли: в них утверждалось, что некоторые вещи математически равны, тогда как нельзя было даже ожидать, чтобы они были связаны между собой.
По крайней мере две страницы оригинального письма пропали без вести. Последняя страница, которая у нас есть, снова, кажется, заканчивается неудачно: Рамануджан, описывая достижения своей теории расходящихся рядов, приходит к, казалось бы, абсурдному результату о том, что сумма всех положительных целых чисел 1 + 2 + 3 + 4 +… равна -1 / 12.
Как отреагировал Харди? Во-первых, он проконсультировался у Литтлвуда. Было ли это письмо розыгрышем? Были ли эти формулы уже известны, или, возможно, совершенно неправильны? Некоторые они опознали. А вот остальные — нет. Харди сказал позже, что и они должны быть правильными, "потому что если бы они не были правдой, никому не хватило бы воображения их придумать".
Бертран Рассел писал, что на следующий день он "нашел Харди и Литтлвуда в состоянии дикого возбуждения, потому что они считают, что нашли второго Ньютона — индуистского клерка, который зарабатывает в Мадрасе 20 фунтов в год". Харди многим людям показал письмо Рамануджана, а затем начал делать запросы правительственным департаментам, управляющим Индией. Все это заняло у него неделю, а затем он написал ответное письмо Рамануджану, в котором ясно читается волнение: "Я был чрезвычайно заинтересован вашим письмом и теоремами, которые вы сформулировали".
Затем он продолжил: "Однако вы должны понять, что, прежде чем я смогу судить правильно о ценности того, что вы сделали, я должен увидеть доказательства некоторых из ваших утверждений". Любопытно, что он сказал это. Для Харди недостаточно было просто знать, что это правда; ему нужны были доказательства. Конечно, Харди мог бы самостоятельно их найти. Однако мне кажется, что отчасти он написал так потому, что хотел получить более полное представление о том, насколько хорошим математиком был Рамануджан.
В своем письме с характерной для него точностью Харди разделил содержимое письма Рамануджана на три категории: то, что уже было известно; новое и интересное, но не очень важное; и, наконец, новое и потенциально важное. Однако единственным, что он отнес к третьей категории, было заявление Рамануджана о подсчете простых чисел, добавив при этом, что "почти все зависит от точности и строгости методов доказательства, которые вы использовали".
Харди, очевидно, сделал к тому моменту некоторые предварительные исследования работ Рамануджана, так как в своем письме он ссылается на его статью, посвященную числам Бернулли. Он пишет: "я очень надеюсь, что вы отправите мне как можно быстрее… некоторые из ваших доказательств", а затем заканчивает словами: "в надежде как можно скорее получить от вас ответ".
Рамануджан действительно быстро отреагировал на письмо Харди. Во-первых, он писал, что он ожидал такого же ответа от Харди, как и от одного "профессора математики в Лондоне", который просто сказал ему "не попадать в ловушку расходящихся рядов". Затем он отвечает на пожелание Харди строгих доказательств, говоря: «если бы я продемонстрировал вам мои методы доказательства, то, уверен, вы присоединились бы к мнению лондонского профессора". Далее он упоминает свой результат
1 + 2 + 3 + 4 +… = -1 / 12,
и добавляет, что "… если я скажу вам, то вы ответите, что мое место — в психушке". И продолжает: "я говорю об этом только для того, чтобы убедить вас, что вы не в состоянии будете следовать моим методам доказательства… основанным на одной букве". Он говорит, что его первая цель состоит в том, чтобы найти кого-то вроде Харди, чтобы проверить свои результаты, а значит, иметь возможность получить стипендию, так как "я уже живу впроголодь. Чтобы сохранить , мне нужна еда...".

Рамануджан заканчивает словами о том, что наличие той первой категории результатов, которые уже известны, очень его обрадовало, потому что "мои результаты верифицируются — в противном случае моя позиция была бы слишком шаткой". Другими словами, Рамануджан и сам не был уверен в правильности полученных результатов, и он был рад, что оказался прав.
Как же он получал свои результаты? Позже я расскажу об этом подробнее. Но он, конечно, делал все виды расчетов с числами и формулами — по сути, занимался экспериментами. И, вероятно, он смотрел на результаты этих вычислений, чтобы понять, какие из них верны. До сих пор неизвестно, как он определял это; к тому же некоторые его результаты в конце концов не выдержали критики. Возможно, он использовал как традиционные приемы математических доказательств и подтверждение с помощью вычислений, так и доверял своей интуиции. Однако ничего из этого он не сказал Харди.
Вместо этого он просто вел с ним переписку о деталях результатов, а также приводил фрагменты доказательств, которые он был в состоянии дать. Казалось, Харди и Литтлвуд намеренно нивелируют его усилия: например, Литтлвуд писал о каких-то его результатах: "(d) — это, конечно, неверно". При этом они оба задавались вопросом, был ли Рамануджан "Эйлером" или просто "Якоби". Однако Литтлвуд сказал: «материал о простых числах неверен» — в том смысле, что Рамануджан неправильно допускал, что дзета-функция Римана не имеет комплексных нулей, хотя на деле их бесконечно много (на эту тему у Римана была целая гипотеза). Гипотеза Римана — известная и до сих пор нерешенная математическая задача, которую оптимист-преподаватель предложил Литтлвуду в качестве проектной работы, когда тот был еще студентом.
А что насчет странного выражения Рамануджана 1 + 2 + 3 + 4 +… = -1/12? Оно также имеет отношение к дзета-функции Римана. Для положительных целых чисел ζ(s) определяется как сумма
. В Wolfram Language есть интересная функция — Zeta[s] — которую можно получить, расширив ее область определения на все множество комплексных чисел. Затем, на основе формулы для положительных аргументов, можно сказать, что Zeta[-1] представляет собой сумму 1 + 2 + 3 + 4 +… Но можно просто вычислить Zeta[-1]:

Это слишком странный результат для того, чтобы просто в него поверить. Однако и не такой безумный, как может показаться на первый взгляд. Это результат, который в настоящее время считается вполне разумным для определенных расчетов в квантовой теории поля (в которой, если уж быть справедливым, все актуальные бесконечности предназначены для того, чтобы в конце их отменить).
Вернемся к нашей истории. У Харди и Литтлвуда не было приемлемой ментальной модели для Рамануджана. Литтлвуд предположил, что Рамануджан не хочет предоставлять доказательств, потому что он боится, что они украдут его работу (кража тогда, как и сейчас, была серьезной проблемой в научных кругах). Рамануджан сказал, что его «ранят» эти предположения, и заверил их, что он «ни в малейшей степени не опасается» за то, что его методом воспользуется кто-то еще. Он добавил, что он изобрел метод восемь лет назад, но до сих пор не нашел никого, кто смог бы оценить его, и теперь он был «готов передать… в распоряжение, все, что есть».
В то же время (еще до ответа на первое письмо Рамануджана) Харди совместно с отделом правительства, ответственного за индийских студентов, изучал, как перевести Рамануджана в Кембридж. Не вполне понятно, что произошло на этом отрезке их переписки, но Рамануджан ответил, что он не может ехать — возможно, из-за его убеждений брамина, или из-за матери, или, возможно, потому, что он просто думал, что не впишется в новую среду. Но в любом случае сторонники Рамануджана занялись тем, чтобы он получил стипендию в Университете Мадраса. Другие эксперты высказали мнение, что "его результаты замечательны; но он не может на данный момент представить вразумительного доказательства некоторых из них"; при этом "он обладает достаточным знанием английского языка и не слишком стар, чтобы учиться современным методам из книг".
Администрация университета заявила, что их правила не позволяют дать стипендию выпускника тому, кто, как Рамануджан, не получил степень бакалавра. Однако они предложили выход: «раздел XV Закона о регистрации и статьи 3 Закона об индийских университетах от 1904 года допускает выдачу такой стипендии [со стороны Государственного Департамента Образования] при условии согласия губернатора Форт Ст. Джорджа в Совете». И, несмотря на бюрократию, дело пошло быстро, и в течение нескольких недель Рамануджан должным образом получил стипендию на два года с единственным требованием предоставлять ежеквартальные отчеты.
Стиль работы Рамануджана
К тому времени, когда он получил свою стипендию, Рамануджан стал писать больше статей и публиковать их в журнале Индийского математического общества. По сравнению с его амбициозными идеями о простых числах и расходящихся рядах тематика этих работ была совсем скучной. Тем не менее, они были замечательны.
Что сразу поражает — они полны реальных, сложных формул. Большинство математических статей не такие. Они могут быть сложно написаны и не содержать при этом больших выражений, включающих в себя сложные комбинации из корней или длинных целых чисел.


Сейчас мы привыкли видеть невероятно сложные формулы, генерируемые с помощью Mathematica. Однако они являются промежуточными шагами, а не темами для подробного обсуждения в статьях. У Рамануджана сложные формулы скрывали за собой историю. Невероятно впечатляет, что он мог вывести их без компьютеров и других современных инструментов.
(Кстати, еще в конце 1970-х годов я начал писать статьи, включавшие в себя формулы, генерируемые компьютером. И в одной конкретной статье в одной из формул много раз подряд повторялось число 9. Но опытная машинистка, которая печатала статью — да, из рукописи — заменила каждую «9» на «g». Когда я спросил ее, почему, она сказала: "Ну, в статьях никогда не бывает столько 9"!).
Другой отличительной чертой работ Рамануджана является частое использование численных приближений в качестве аргументов, приводящих к точным результатам. Люди склонны думать о работе с алгебраическими формулами как о точном процессе — например, что коэффициент в точности равен 16, а не приблизительно 15.99999. Однако для Рамануджана приближения были обычным делом, при этом окончательные результаты оказывались точными.
В каком-то смысле неудивительно, что приближения числам полезны. Скажем, мы хотим знать, что больше:
или
. Мы можем начать делать все виды преобразований для квадратных корней и пытаться выводить из них теоремы. Или мы можем просто оценить каждое выражение численно и обнаружить, что результат первого выражения (2,9755 ...) меньше, чем второго (3,322 ...). В математической традиции для кого-то вроде Харди — или, если на то пошло, в типичном современном исчислении, — такой прямой способ расчета ответа на вопрос кажется чем-то неуместным и неправильным.
И, конечно, если цифры близкие, нужно быть осторожным относительно численного округления и прочего. Хотя вот на сегодняшний день в системе Mathematica и с Wolfram Language с их встроенными системами отслеживания чисел мы часто используем численные приближения для получения точных результатов так же, как это делал Рамануджан.
Когда Харди просил у Рамануджана доказательств, отчасти он хотел лишь получить своего рода историю для каждого результата, которая объясняла бы его. Но в некотором смысле методы Рамануджана не поддаются этому способу. Легко понять, что это правда, но очень сложно доказать, почему это так.
И то же самое происходит, когда ключевая часть результата бывает получена исключительно из вычисления сложных формул, — или, в наше время, из автоматического доказательства теорем. Да, можно проследить шаги и увидеть, что они верны. Но отсутствие контекста не позволит в полной мере понять полученные результаты.
Было бы неприятно в конечном итоге получить некоторое сложное выражение или кажущееся случайным число, потому что такие результаты ни о чем не сказали бы большинству людей. Но Рамануджан отличался. Литтлвуд однажды сказал о Рамануджане, что "каждое положительное число было его личным другом". Обладая прекрасной памятью и хорошей способностью замечать закономерности, Рамануджан мог узнать многое из сложного выражения или длинного числа. Каждый объект будто сам просился рассказать ему свою историю.
Рамануджан генерировал все эти вещи своими собственными усилиями. Но в конце 1970-х и начале 1980-х гг. у меня был опыт автоматической генерации большого количества сложных результатов с помощью компьютера. Я делал это какое-то время, и случилось кое-что интересное: отныне я был в состоянии быстро распознавать «текстуру» результатов и мог сразу увидеть, что с большой степенью вероятности будет верно. Если я имел дело, скажем, с некоторыми сложным интегралом, это было не то же самое, что знать теоремы о нем. Моя интуиция работала — например, я мог предположить, какие функции появятся в результате. Учитывая это, я мог бы заставить компьютер продолжить и получить детальную картину — а значит, и убедиться, что результат был правильным. Но при этом я не мог вывести, почему результат был истинным; я просто получал его с помощью интуиции и расчета.
Сейчас, конечно, достаточно чистой математики, где нельзя (пока что) делать вычисления для того, чтобы проверить, является или нет какой-то результат правильным. Это часто происходит, например, когда речь идет о бесконечности или бесконечно малых величинах или пределах. В 1910 году Харди написал книгу под названием Orders of Infinity — о тонкостях, которые возникают при взятии бесконечных пределов (в частности, в виде алгебраического аналога теории трансфинитных чисел; он говорил о сравнении темпов роста таких явлений, как вложенные экспоненциальные функции, и мы даже извлекли некоторую пользу из того, что теперь называют полями Харди в отношении степенных рядов в Wolfram Language).
Так что, когда Харди увидел «быстрое и свободное» обращение Рамануджана с бесконечными пределами и тому подобным, неудивительно, что он отреагировал отрицательно и подумал, что ему нужно «приручить» Рамануджана — приучить его к более тонким европейским способам получения правильных ответов.
Видеть то, что важно
Рамануджан несомненно был великим человеком-калькулятором — и особенно впечатляло его знание о том, является ли тот или иной математический факт или отношение истинными или нет. Однако самым большим его мастерством была сверхъестественная способность отличать наиболее существенное и понимать, что именно из этого можно вывести.
К примеру, возьмем его изданную в 1914 году статью "Модульные уравнения и аппроксимации числа П", в которой он проводит вычисления (без компьютера, конечно):

Большинство математиков сказали бы: "то, что результат так близок к целому числу, — лишь забавное совпадение; ну и что?" Но Рамануджан понял больше. Он нашел другие отношения (эти "=" должны быть ≅):

Затем он начал строить теорию, которая включает в себя эллиптические функции (хотя Рамануджан не знал еще такого названия в то время) и начал работать над новыми приближениями для пи:

Предыдущие приближения к пи были в некотором смысле гораздо более «здравыми» (хотя одним из лучших вариантов до Рамануджана была формула Мачины 1706 года), включающая в себя как будто случайное число 239:

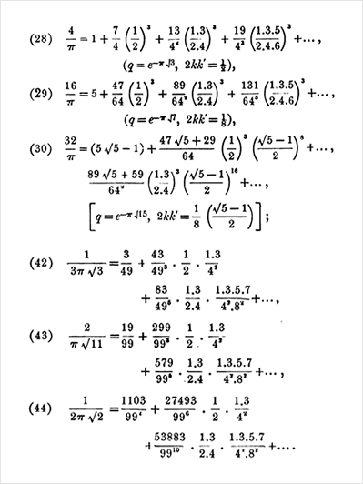
Но странные ряды Рамануджана имели одну важную особенность: они требовали гораздо меньше условий для вычисления π с заданной точностью. В 1977 году Билл Госпер, которого я имел удовольствие знать в течение более чем 35 лет, взял последний из рядов Рамануджана из списка выше и использовал его для вычисления рекордного количества цифр числа пи. Вскоре последовали другие вычисления, основанные на идее Рамануджана — метод, который мы используем для вычисления пи в Mathematica и Wolfram Language.
Если посмотреть на статьи Рамануджана, становится понятно, что даже он сам иногда не знал, что было (или не было) статистически значимым. Например, он отметил:

И потом (это практически единственный его опубликованный пример из геометрии) он на основе этой формулы представил своеобразную геометрическую конструкцию «квадратуры круга»:

Истина или объяснение
Наверняка для Харди способ работы Рамануджана был чужд. Рамануджан был экспериментатором в математике: он свободно входил во вселенную математических возможностей и делал расчеты для того, чтобы найти интересные и значимые факты — и только затем строил теории, основанные на них.
Харди же работал в традиционном русле, постепенно расширяя описательную часть существующей математики. Большинство его работ начинаются — явно или неявно — с цитирования некоторого результата из математической литературы, а затем продолжаются рассказом о том, как этот результат может быть распространен с помощью ряда точных шагов. У него нет внезапных эмпирических открытий, как нет и необъяснимых скачков, основанных на интуиции. Его математика тщательно аргументирована и построена по кирпичику.
Столетие спустя почти все работы по математике делаются так. И даже если обсуждать один и тот же предмет, возможно, кое-что не следует называть «математикой», потому что методы слишком разные. В то время, как я собственными силами исследовал вычислительную вселенную простых программ, я сделал изрядное количество того, что можно было бы назвать «математическим» в том смысле, что, например, я исследовал системы, основанные на числах.
На протяжении многих лет я находил всевозможные интересные результаты. Причудливо вложенные рекуррентные соотношения, которые генерируют простые числа. Своеобразные представления целых чисел в виде XOR-деревьев. Но одни эмпирические факты еще не являются частью традиции существующей математики.
Для многих математиков вроде Харди процесс доказательства является основой математической деятельности. Несложно выдвинуть предположение о том, что истинно; важнее создать доказательство того, что объясняет, почему что-то верно, таким образом, чтобы другие математики это поняли.
Сегодня, когда у нас появляется возможность автоматизировать все больше и больше доказательств, этот процесс начинает напоминать ручной труд, где результат может быть интересным, а процесс его получения — нет. Но процесс доказательства также может иметь большое значение. Доказательства могут стать тем материалом, с помощью которого вводятся новые абстрактные понятия, выходящие за рамки подробных сведений о данном доказательстве, а также обеспечить «сырьем» для понимания многих других математических результатов.
Подозреваю, что Рамануджан, для которого эти факты и результаты были центром его математического
Переход в Кембридж
Однако вернемся к истории о Рамануджане и Харди.
К началу 1913 года Харди и Рамануджан продолжали обмениваться письмами. Рамануджан описывал свои результаты; Харди критиковал его и настаивал на доказательствах и традиционном их изложении. Далее был длинный перерыв, но в декабре 1913 года Харди снова написал, говоря, что самые амбициозные результаты Рамануджана о распределении простых чисел определенно были неправильными, добавив, что "… теория простых чисел полна подводных камней, преодоление которых требует применения современных строгих методов". Он сказал также, что, если бы Рамануджан смог доказать свои результаты, это стало бы "одним из самых замечательных математических достижений за всю историю математики".
В январе 1914 года молодой кембриджский математик E. Х. Невилл приехал в Мадрас читать лекции и сообщил о том, что Харди «стремится перевести Рамануджана в Кембридж». Рамануджан ответил, что еще в феврале 1913 года он вместе со своим начальником провел встречу с секретарем совещательного студенческого комитета Мадраса, который спросил, готов ли он поехать в Англию. Рамануджан писал, что он предполагал, что он должен был бы сдавать экзамены так же, как и другие индийские студенты, которые уезжали в Англию (а он думал, что не справится с этим), а также что его начальник "очень ортодоксальный брамин, и так как он сомневался, стоит ли ехать на чужбину, то сказал мне, что не стоит".
Он рассказал потом, что Невилл «развеял [его] сомнения», пояснив, что ему не стоит волноваться насчет расходов, что его английский всех устраивает, что ему не придется сдавать экзамены и что он может остаться вегетарианцем и в Англии. Рамануджан закончил словами о том, что он надеется на то, что Харди и Литлвуд будут "достаточно любезны, чтобы взять на себя труд принимать меня [в Англии] в течение нескольких месяцев".
Харди предположил, что бюрократических проблем не будет и Рамануджан легко попадет в Англию; однако получилось не так. Тринити-колледж, в котором работал Харди, не был готов предоставить какого-либо реального финансирования. Харди и Литтлвуд предложили свои деньги, однако Невилл написал секретарю университета Мадраса: "открытие гения С. Рамануджана из Мадраса обещает быть самым интересным событием нашего времени в математическом мире", — он предложил университету найти деньги. Экспаты-сторонники Рамануджана предприняли активные действия, в конечном итоге добились внимания губернатора Мадраса, и деньги нашлись: их взяли из правительственного гранта пятилетней давности, предназначавшегося для «учреждения лекций в университете во время каникул», а на языке бюрократии это звучало примерно так: «Документ № 182 Управления образования»… «не использованный по прямому назначению».
В бюрократических протоколах были странные приписки — например, от 12 февраля: «К какой касте он принадлежит? Срочно». Но в конце концов все сложности были преодолены, и 17 марта 1914 года после проводов с участием местных сановников Рамануджан садится на корабль в Англию, идущий вверх по Суэцкому каналу, и 14 апреля прибывает в Лондон. Перед тем, как покинуть Индию, Рамануджан готовился к европейской жизни: носил западную одежду, учился есть ножом и вилкой и завязывать галстук. Для тех индийских студентов, которые приехали в Англию раньше, существовала целая процедура. Через несколько дней Рамануджан прибыл в Кембридж, и индийские газеты с гордостью сообщали, что "г-н С. Рамануджан из Мадраса, чьи работы по высшей математике вызвали удивление в Кембридже, в настоящее время находится в резиденции в Тринити".
(В связи с первыми днями Рамануджана в Кембридже помимо имен Харди и Литтлвуда появляются два других имени: Невилл и Барнс. Они не особенно известны в общей истории математики, но так случилось, что в Wolfram Language их имена носят встроенные функции: NevilleThetaS и BarnesG).
Рамануджан в Кембридже


Каким был Рамануджан, когда прибыл в Кембридж? Его описывают как полного энтузиазма и активного человека, хотя и неуверенного в себе. Он шутил, иногда и в свой адрес. Он мог говорить не только о математике, но и о политике и философии. Он не был слишком рефлексивным. Когда общение носило официальный характер, он был вежлив и почтителен и пытался следовать местным обычаям. Его родным языком был тамильский, и ранее он потерпел неудачу, провалив английские экзамены, но к тому времени, когда он прибыл в Англию, его английский был отличным. Он любил тусоваться с другими индийскими студентами, иногда ходил на музыкальные мероприятия или катался на лодке по реке. Он был невысоким и полным; его главной примечательной особенностью были глаза — яркие и блестящие. Он упорно трудился, решая одну математическую задачу за другой. Его скудное жизненное пространство составляли лишь несколько книг и статей. Он был рассудителен в практических вещах: например, в том, чтобы решить проблемы с приготовлением пищи и поиском вегетарианских продуктов. Можно сказать, что в Кембридже он был счастлив.
Однако позже, 28 июня 1914 года (всего через два с половиной месяца после того, как Рамануджан прибыл в Англию) эрцгерцог Фердинанд был убит, а 28 июля началась Первая мировая война. Это немедленно отразилось на Кембридже. Многие студенты были призваны на военную службу. Литтлвуд присоединился к военным и в конечном итоге разработал способ вычисления таблиц дальности для зенитных орудий. Харди не был большим сторонником войны (не в последнюю очередь потому, что любил немецких математиков), но он также вызвался добровольцем и впоследствии был отвергнут по медицинским показаниям.
Рамануджан описывал войну в письмах к своей матери, говоря, например: "они летают в самолетах на большой высоте, бомбят города и разрушают их. Как только вражеские самолеты показываются в небе, самолеты, стоящие на земле, взлетают и на огромной скорости набрасываются на них, что несет разрушение и смерть".
Рамануджан тем не менее продолжал свои занятия математикой, объясняя своей матери, что "война ведется на территориях столь отдаленных, насколько Рангун находится далеко от [Мадраса]". Были и практические трудности — например, отсутствие овощей, что побудило Рамануджана попросить друга из Индии отправить ему бандеролью "немного семян тамаринда и хорошего кокосового масла". Важнее было то, что, как писал Рамануджан, "профессора здесь… утратили интерес к математике из-за нынешней войны".
Рамануджан также писал другу, что "изменил план публикации своих результатов". Он сказал, что будет ждать окончания войны для того, чтобы опубликовать какой-либо из старых своих результатов. Но он сказал, что с момента приезда в Англию он освоил "их методы", и пытается "получить новые результаты их методами, чтобы легко и без задержек публиковаться".
В 1915 году Рамануджан опубликовал длинный документ, озаглавленный "высокосоставные числах" о максимумах функции (DivisorSigma в Wolfram Language), которая подсчитывает количество делителей заданного числа. Харди, по всей вероятности, принимал активное участие в подготовке данной статьи, которая стала основой тезисов к кандидатской диссертации Рамануджана.
В течение следующих нескольких лет Рамануджан плодотворно работал и писал статьи, которые, несмотря на войну, были опубликованы. Вместе с Харди он написал значимую статью, касающуюся функции распределения (PartitionsP в Wolfram Language), описывающей способы записать целое число в виде суммы положительных чисел. Эта статья — классический пример смешения приближенных и точных вычислений. Статья начинается с результата для больших n:

Но затем с помощью идей Рамануджана, разработанных еще в Индии, оценка постепенно улучшается до точки, в которой можно получить результирующее целое число. В то время, в котором жил Рамануджан, вычисление точного значения PartitionsP[200] было большим делом — и кульминацией его статьи. Но сегодня, благодаря методу Рамануджама, эти вычисления можно проводить мгновенно:

Кембридж был подавлен войной — на линиях фронта с ужасающей скоростью погибали лучше студенты. Большой четырехугольник Тринити-колледжа стал военным госпиталем. Но, несмотря на все это, Рамануджан продолжал заниматься математикой — и с помощью Харди зарабатывал себе известность.
В мае 1917 года Рамануджан заболел. Насколько теперь можно судить, это, вероятно, была какая-то паразитарная инфекция печени, привезенная им из Индии. Но тогда никто не мог поставить диагноз. Рамануджан ходил от врача к врачу, но он не верил тому, что ему говорили, и казалось, что ничего не поможет. В одни месяцы он чувствовал себя достаточно хорошо, чтобы заниматься математикой; в другие — нет. Он впал в депрессию, и в какой-то момент, видимо, был склонен к самоубийству. Ему не помогло и то, что его мать вернула его жену обратно в Индию, оградив его от общения с ней и опасаясь, что она будет отвлекать его.
Харди пытался помочь: иногда — взаимодействуя с врачами, иногда — обеспечивая математическими данными. Один врач сказал Харди, что причиной заболевания может быть "какой-то неизвестный возбудитель с Востока, совершенно неизученный в настоящее время". Харди писал: "Как и все индийцы, Рамануджан фаталист, а потому ужасно трудно заставить его заботиться о себе". Позже Харди рассказал ныне известную историю о том, как однажды он посетил Рамануджана в больнице и сказал, что приехал на такси с номером 1729, и что ему кажется, что это довольно унылый номер, на что Рамануджан ответил: "Нет, это очень интересное число; это наименьшее число, представимое в виде суммы двух кубов двумя различными способами":
. (Wolfram|Alpha сообщает теперь также о некоторых других его свойствах).
Однако, несмотря на все проблемы, репутация Рамануджана как математика продолжала расти. Он был избран членом Королевского общества (в которое входили Хобсон и Бейкер, ни один из которых не ответил на его оригинальное письмо), и в октябре 1918 г. был избран членом Тринити-колледжа, что обеспечивало ему финансовую поддержку. Спустя месяц после окончания Первой мировой войны угроза нападения подводных лодок, которая делала путешествие в Индию опасным, исчезла.
И вот 13 марта 1919 года Рамануджан возвращается в Индию — очень известным и уважаемым и очень больным. Он по-прежнему занимается математикой и, в частности, пишет Харди заметное письмо о «ложных» тэта-функциях (12 января 1920 года). Он решил жить скромно, и в значительной степени игнорировал то немногое, что медицина могла сделать для него. И 26 апреля 1920 года, в возрасте 32 лет и через три дня после последней записи в записной книжке, он умирает.

Что было дальше
Когда Рамануджан начал заниматься исследованиями по математике, он записывал свои результаты в тетрадях с твердой обложкой, публикуя лишь малую их часть. Когда Рамануджан умер, Харди хотел изучить и опубликовать все 3000 (или около того) результатов из тетрадей Рамануджана. Несколько человек также работали над этим в 1920-х и 1930-х годах, и в итоге много чего было опубликовано. Однако проект не был завершен — к нему вернутся лишь в 1970-е годы.


Скачать первый, второй, третий блокнот.
В 1940 году Харди передал все имеющиеся у него письма Рамануджана в библиотеку Кембриджского университета, но того оригинального письма, которое Рамануджан послал в 1913 году, среди них не было, так что теперь единственное, что у нас есть, это опубликованное позже переложение этого письма Харди. Три основные тетради Рамануджана много лет лежали на шкафу в кабинете библиотекаря в Университете Мадраса, где они пострадали от насекомых, но не потерялись. Другие его записи прошли через несколько рук, а некоторые из них оказались в невероятно грязном кабинете кембриджского математика; однако когда он в 1965 году умер, они были замечены и отправлены в библиотеку, где и пылились до тех пор, пока не были «заново открыты» в 1976 году как потерянные записи Рамануджана.
Когда Рамануджан умер, его родственники практически сразу стали просить финансовой поддержки. Из Англии приходили большие счета за лечение, и начались разговоры о продаже бумаг Рамануджана для сбора денег.
Жене Рамануджана был 21 год, когда он умер, однако она больше не вышла замуж. Она жила очень скромно, зарабатывая себе на жизнь шитьем. В 1950 году она взяла на воспитание сына умершей подруги. К 1960-м гг. Рамануджан стал кем-то вроде индийского героя, и она начала получать различные награды и пенсии. За долгие годы многие математики пришли навестить ее, одному из которых она отдала фотографию из паспорта Рамануджана, которая стала самым известным его изображением.
Она прожила долгую жизнь и умерла в 1994 году в возрасте 95 лет, пережив Рамануджана на 73 года.
Что стало с Харди?
Харди было 35 лет, когда он получил письмо Рамануджана, и 43 года, когда тот умер. Харди рассматривал «открытие» Рамануджана как свое самое большое достижение, и описал их сотрудничество как "первое романтическое событие его жизни". После смерти Рамануджана Харди некоторое время работал, продолжая декодировать и развивать его результаты, но по большей части он вернулся к своей прежней математической траектории. Полное собрание его сочинений представляет собой семь большим томов (тогда как публикации Рамануджана — одну тоненькую книжечку). Эти облака из названий его работ показывают лишь некоторые произошедшие изменения (первое облако — до встречи с Рамануджаном, второе — после):

Незадолго до того, как Рамануджан вошел в его жизнь, Харди начал сотрудничать с Джоном Литтлвудом (он скажет позже, что Литтлвуд оказал на его жизнь еще большее влияние, чем Рамануджан). После того, как Рамануджан умер, Харди переехал в Оксфорд для работы и прожил там 11 лет, прежде чем вернуться в Кембридж. Его отсутствие не повлияло на сотрудничество с Литтлвудом, так как они работали в основном с помощью обмена письменными сообщениями, даже если их комнаты были всего в нескольких сотнях футов друг от друга. После 1911 Харди публиковался без соавтора; плодотворнее всего он работал с Литтлвудом, опубликовав за 38 лет 95 статей с соавторстве с ним.
Математика Харди всегда был самого высшего качества. Он мечтал создать что-то подобное решению гипотезы Римана, но в действительности ничего по-настоящему захватывающего не сделал. Он написал две книги, которые читают и по сей день: «Введение в теорию чисел» с Е.М. Райт; и «Неравенства» совместно с Литтлвудом и Д. Пойа.
Харди прожил свою жизнь среди интеллектуальной элиты. В 1920-е годы он повесил изображение Ленина в своей квартире и недолго был президентом профсоюза «работников от науки». Он изящно писал: в основном о математике, а иногда и о Рамануджане. Он сторонился технических новинок и всегда жил вместе со студентами и профессорами в своем колледже. Он так и не женился, и ближе к концу его жизни его младшая сестра присоединилась к нему в Кембридже (она также никогда не была замужем и провела большую часть своей преподавательской жизни в школе для девочек, в которой она училась еще ребенком).
В 1940 году Харди написал небольшую книгу под названием Апология математики. Когда мне было около 12, ко мне попала копия этой книги. Я думаю, что многие люди рассматривали ее как своего рода манифест или рекламу чистой математики. Должен сказать, что не согласен с этим вообще. Я сразу почувствовал, что он — строгий ханжа, а его попытки описать эстетику и радости математики меня совершенно не впечатлили, — равно как и гордость, с которой ее автор сказал, что "ничего из того, что я когда-либо делал, не имеет ни малейшего практического значения" (на самом деле, он стал сооткрывателем закона Харди-Вайнберга, используемого в генетике). Сомневаюсь, что я так или иначе выбрал бы путь чистой математики, но книга Харди помогла мне в этом убедиться.

Справедливости ради стоит отметить, однако, что Харди написал эту книгу во время черной полосы в своей жизни, когда он был обеспокоен своим здоровьем и потерей своих математических способностей. Возможно, это объяснит то, почему он заканчивает ее словами "математика… это игра для молодых людей". И в статье о Рамануджане он писал, что "математик в 30 лет уже сравнительно стар, и его смерть может быть меньшей катастрофой, чем кажется". Я не знаю, высказывалось ли такое мнение прежде, но в 1970-е годы оно принималось как факт, простираясь на всю науку и на математику — в частности.

Так ли это на самом деле? Сомневаюсь. Трудно получить четкие доказательства, однако в качестве примера я взял данные об известных математических теоремах (в Wolfram|Alpha и Wolfram Language) и сделал гистограмму возраста людей, которые их доказали. Распределение не совсем равномерное (пик перед 40, вероятно, связан с эффектом отбора теорем, связанных с Филдсовской премией), однако даже если скорректировать ожидаемую продолжительность жизни сейчас и в прошлом, то мы не увидим, что математическая производительность истощается к 30 годам.

Я думаю, что по крайней мере до моего возраста научная производительность на самом деле неуклонно возрастает. Мои лучшие идеи родились в результате того, что я находил связи между вещами, которые узнал с разницей в десятилетия. Возраст так же на руку в том смысле, что с годами накапливается все больше опыта и интуиции о том, как все будет работать. А ваши более ранние успехи могут помочь обеспечить уверенность для того, чтобы двигаться вперед. Конечно, нужно поддерживать определенный уровень для того, чтобы сосредоточиться надолго, обдумывая сложные вещи. Думаю, что в некотором роде я с возрастом стал медленнее, а в некотором роде — быстрее. Я медленнее, потому что больше знаю об ошибках, которые обычно делаю, и стараюсь работать более тщательно, чтобы избежать их. Но я быстрее, потому что я знаю больше и могу сократить выполнение многих операций. Мне, в частности, очень помогает то, что за долгие годы я разработал все виды автоматизации, которые в состоянии использовать.
Совершенно другое дело, что создание вклада в существующую область (как это сделал Харди) может быть сделано молодым человеком, тогда как создание новой структуры, как правило, требует более широких знаний и опыта, который приходит с возрастом.
Однако вернемся к Харди. Я подозреваю, что именно отсутствие мотивации, а не способностей в последние годы привели к тому, что он стал совершенно подавленным и бросил математику. Он умер в 1947 году в возрасте 70 лет.
Литтлвуд, который был на десять лет младше Харди, дожил до 1977 года. Литтлвуд всегда был более активным и предприимчивым, чем Харди, и чуть менее строгим и величественным. Как и Харди, он так никогда и не женился, хотя у него была дочь, которую он почему-то называл племянницей до тех пор, пока ей не исполнилось сорок. Литтлвуд, своевременно начавший принимать антидепрессанты в возрасте 72 лет, был чрезвычайно продуктивен в свои 80, опровергая тем самым утверждение Харди о том, что математика — это игра для молодых.
Математика Рамануджана
Что происходило с математикой Рамануджана? В первые десятилетия — не слишком многое. Харди продолжал кое-что делать, но вся теория чисел, в рамках которой была сконцентрирована большая часть работ Рамануджана, вышла из моды. Ниже находится график, на котором отражается доля всех математических работ, помеченных как «теория чисел», как функция от времени (база данных Zentralblatt):

Интерес Рамануджана в определенной степени был обусловлен пиком начала 1900-х гг. (который, вероятно, был бы еще выше с учетом более ранних данных). Однако к 1930-м гг. внимание математиков переместилось от теории чисел и математического анализа в сторону большей общности и формальности, которые свойственны сфере алгебры.
Однако в 1970-е годы теория чисел стала вдруг снова более популярной, движимая достижениями в области алгебраической теории чисел (среди других подкатегорий, демонстрирующих существенный рост в то время, стоит отметить автоморфные формы, элементарную теорию чисел и последовательности).
В конце 1970-х годов, я уже, конечно, слышал о Рамануджане, хотя больше о его истории, а не математике. И когда я в 1982 году писал о вакууме в квантовой теории поля, мне было приятно использовать результаты Рамануджана для того, чтобы предложить замкнутые формы для конкретных случаев (бесконечных сумм в различных размерах мод квантового поля, соответствующих дзета-функции Эпштейна):

Начиная с 1970-х годов началась большая работа по доказательству результатов работ Рамануджана (тех самых, из тетрадей), однако она еще далека от завершения. По мере продвижения этой работы растут связи между полученными им результатами, и зарождаются новые общие темы в области теории чисел.
По большей части Рамануджан изучал так называемые специальные функции и придумывал какие-то новые. Специальные функции (дзета-функции, эллиптические, тета-функции и т.д.) можно рассматривать как удобные математические «пакеты». Определить можно бесконечное число возможных функций; однако те, что называются «специальными», выжили потому, что не раз доказали свою необходимость.
И сегодня, например, в системе Mathematica и Wolfram Language у нас есть такие специальные функции, как RamanujanTau, RamanujanTauL, RamanujanTauTheta и RamanujanTauZ. Не сомневаюсь, что функций с его именем со временем станет больше. В последний год своей жизни Рамануджан определил некоторые особенно амбициозные специальные функции, которые он назвал «мнимые тета-функции» (однако им необходима еще доработка для того, чтобы можно было определять их постоянно).
Если посмотреть на определение тау-функции Рамануджана, оно покажется весьма странным (обратите внимание на «24»):
На мой взгляд, самое замечательное в Рамануджане — это то, что он смог как бы случайно определить какие-то вещи, которые оказались полезными столетие спустя.
Факты — случайные или нет?
В древности пифагорейцы придавали большое значение тому факту, что 1 + 2 + 3 + 4 = 10. Сегодня нам кажется, что это случайный факт, не имеющий особого значения. Когда я смотрю на результаты Рамануджана, многие из них также кажутся мне случайными фактами из математики. Однако работа над его записями (особенно в последние десятилетия) показывает, что они не случайны. Наоборот — все чаще обнаруживается, что они сообразуются с серьезными и изящными математическими законами.
Для того, чтобы изложить эти принципы формальным способом, требуется ряд абстрактных математических понятий и язык, на развитие которых требуются десятилетия. Однако Рамануджану с помощью опыта и интуиции удалось найти конкретные примеры, иллюстрирующие эти принципы. Часто его примеры выглядят полными случайных определений и чисел. Но, возможно, это что именно то, что нужно для того, чтобы выразить современные абстрактные принципы в терминах конкретных математических построений начала двадцатого века. Это немного похоже на то, как поэт пытается выразить глубокие общие идеи, но вынужден использовать только несовершенный инструмент — человеческий язык.
Доказать многие из результатов Рамануджана оказалось сложной задачей. Отчасти потому, что создание своего рода контекста, необходимого для доказательства, требует наращивания гораздо более абстрактных и концептуально сложных структур.
Так как же Рамануджану удалось фактически предсказать все эти глубокие принципы более поздней математики? Думаю, что тут могут быть два варианта. Во-первых, если некто, получив достаточно неожиданный результат, скажем, в теории чисел, идет дальше в попытке понять его, то в конечном итоге он достигнет некоего принципа. Вторая возможность состоит в том, что Рамануджан, по всей видимости, обладал эстетическим чувством, которое помогало ему объединять казалось бы случайные факты, подходящие друг к другу и имеющие более глубокое значение.
Я не знаю точно, какое из предположений верно; возможно, они сочетаются. Чтобы понять это чуть лучше, стоит поговорить об общей структуре математики. В некотором смысле математика на практике странным образом подвешена между тривиальным и невозможным. На глубинном уровне математика базируется на простых аксиомах. К примеру, для булевой алгебры с учетом аксиомы существует простая процедура для того, чтобы выяснить, является ли какой-либо конкретный результат верным или нет. Однако начиная с теоремы Гёделя 1931 года (которую Харди должен был знать, но, по-видимому, никогда не комментировал) стало известно, что для области вроде теории чисел все обстоит по-другому: в контексте теории существуют высказывания, чья истинность или ложность неразрешима из аксиом.
В начале 1960-х гг. было доказано, что существуют полиномиальные уравнения с целыми числами, из которых (из аксиом арифметики или из формальных методов теории чисел) нельзя понять, имеют ли они решения. Конкретные примеры таких классов уравнений чрезвычайно сложны. Но, следуя моим исследованиям в вычислительной вселенной, я давно сделал вывод, что существуют гораздо более простые уравнения, где это также происходит. За последние несколько десятилетий я опросил многих ведущих мировых теоретиков о том, где, по их мнению, лежит граница нерешаемости. Мнения расходятся, но они, безусловно, лежат в границах возможного (например, кубические уравнения с тремя переменными).
Вполне возможно, что Рамануджан мог изложить результат, который просто не может быть доказан с помощью аксиом арифметики. В качестве примера можно привести гипотезу Гольдбаха. То же самое может касаться и других результатов Рамануджана.
Понадобилось несколько десятилетий для того, чтобы доказать некоторые из результатов Рамануджана, однако важен уже тот факт, что они вообще доказуемы. Это важно потому, что это не просто случайные факты; это факты, которые так или иначе могут быть связаны с доказательствами основных аксиом.
В общем, я поддерживаю идею о том, что Рамануджан обладал такими эстетическими критериями и интуицией, что смог в своих работах «захватить» некоторые из глубоких принципов, о которых мы узнали гораздо позднее.
Автоматизация работ Рамануджана
Не составляет труда собрать в случайном порядке математические утверждения, а затем получить эмпирические доказательства того, являются ли они истинными. Теорема Гёделя фактически означает, что вы никогда не будете знать, как далеко вы должны зайти, чтобы быть уверенным в каком-либо конкретном результате. Иногда недалеко, а иногда и наоборот.
Рамануджан убедил себя в том, что многие из его результатов равны эмпирическим методам, и это часто срабатывало. Харди отмечал, что в случае с подсчетом простых чисел появляется много тонкостей, и результаты, которые могли бы работать до очень больших чисел, в конечном счете потерпят неудачу.
Скажем, некто смотрит на пространство возможных математических утверждений и выбирает те их них, которые могут оказаться верными. Теперь следующий вопрос: являются ли эти утверждения связанными между собой?
Представьте, что можно было бы найти доказательства верных утверждений. Эти доказательства фактически соответствуют траектории по направленному графу, который начинается с аксиом и ведет к истинным результатам. Как вариант, можно представить граф как звезду, когда доказательство каждого из результатов из аксиом происходит независимо друг от друга. Другой вариант заключается в том, что в процессе продвижения от аксиом к результатам есть много общих «путевых точек». И именно эти путевые точки в действительности представляют собой общие принципы.
Если есть определенная разреженность в результатах, неизбежно, что многие из них связаны через небольшое число общих принципов. Также может быть, что есть результаты, которые не связаны таким образом, и они (просто из-за отсутствия связей) не считаются «интересным» и выпадают из обсуждения конкретной темы.
Должен сказать, что эти соображения приводят к важному для меня вопросу. Я провел много лет, изучая то, что составляет обобщение в математике: поведение произвольных простых программ в вычислительной вселенной. Я обнаружил, что в таких программах можно увидеть все богатство сложного поведения. Но я также нашел доказательства (не в последнюю очередь с помощью принципа вычислительной эквивалентности), что неразрешимости там хоть отбавляй.
Когда смотришь на все это богатое и сложное поведение, возможно ли найти там факты, подобные тем, что были у Рамануджана? В конечном счете будет много таких, о которых не получится легко рассуждать в рамках аксиоматических систем. Но, возможно, есть сети фактов, которые связаны с какими-то более глубокими принципами.
Согласно принципу вычислительной эквивалентности, всегда будут существовать своего рода зоны «вычислительной сводимости»: места, где можно будет выявлять абстрактные примеры и делать абстрактные выводы, не нарываясь на нерешаемость. Тривиальные примеры — повторяющееся поведение и поведение вложенное. Однако теперь появляется вопрос: найдутся ли среди всех конкретных деталей конкретных программ другие общие формы организации.
В то время, как повторение и вложенность наблюдаются в очень многих системах, может оказаться так, что другая форма организации будет рассматриваться гораздо более узко. Но мы не знаем, как. И даже на сегодняшний день мы не узнаем много до тех пор, пока не появится исследователь вроде Рамануджана — только не в области традиционной математики, а в сфере вычислительной вселенной.
Современные Рамануджаны?
Будет ли когда-нибудь другой Рамануджан? Я не знаю, повлияла ли на это легенда о Рамануджане или это просто наш мир так устроен, но, по крайней мере, уже 30 лет я получаю постоянный поток писем, —вроде того, что Харди получил от Рамануджана еще в 1913 году. Всего несколько месяцев назад, к примеру, я получил письмо (из Индии) с изображением тетради, в которой были перечислены различные математические выражения, очень напоминающие работы Рамануджана
.

Имеют ли эти факты значение? Не знаю… Wolfram|Alpha может генерировать много подобных фактов, но без рамануджанова понимания нельзя сказать, какие из них значимы.

На протяжении многих лет я получал бесчисленное множество подобного рода сообщений. Общей их темой является теория чисел, теория относительности и гравитационная теория. Также в последние годы стали популярны темы AI и сознания. Что хорошо в письмах, относящихся к математике, так это конкретика: какие-то формулы, или факт, или теорема. Во времена Харди такие вещи было трудно проверить; сегодня это намного проще. Однако (как и в случае с почти целым числом выше) по-прежнему стоит вопрос о том, является ли этот факт «интересным», или же он случаен и не имеет никакой ценности.
Разумеется, само определение «интересного» не является ни простым, ни объективным. И проблемы возникают те же, что и у Харди с письмом Рамануджана. Если бы можно было увидеть, как этот факт вписывается в более широкую картину (некоторое описание), то можно было бы понять это хотя бы примерно. Однако если у человека нет более широкой картины, тогда нет никакого способа решить, что следует считать интересным.
Когда я только начал изучать поведение простых программ, там действительно не было контекста, который помог бы понять, что в них происходит. Получившиеся у меня картинки оказались интересными. Однако по-прежнему было неясно, какая история стояла за ними. Потребовалось немало лет, прежде чем я накопил достаточно эмпирических данных, чтобы сформулировать гипотезы и разработать принципы, которые позволяют вернуться и посмотреть, что было интересного в том, что я наблюдал.
Я потратил несколько десятилетий на развитие науки о вычислительной вселенной. Но она еще молода, и многое из того, что можно обнаружить, доступно и не требует сложных технических знаний. Поэтому я часто получаю письма, в которых демонстрируется замечательное поведение того или иного конкретного клеточного автомата или другой простой программы. Часто я узнаю общую форму поведения, потому что оно относится к вещам, которые я видел раньше, но иногда — нет, и поэтому я не могу быть уверен, что будет в конечном итоге интересно.
Во времена Рамануджана публиковалось много «случайных фактов»: особый тип интеграла, взятый впервые, или новый класс уравнений, которые можно было решить. Много лет спустя мы собрали столько из них, сколько смогли, и создали с их помощью алгоритмы и базы знаний системы Mathematica и Wolfram Language. Но в то время наиболее важным аспектом их публикации были доказательства, которые прилагались: истории, объясняющие, почему результаты верны. Потому что была по крайней мере вероятность того, что в этих доказательствах были введены понятия, которые могут быть повторно использованы.
Подробное обсуждение увело бы нас слишком далеко, однако своего рода аналог есть в учении о вычислительной вселенной: это методология компьютерных экспериментов. Подобно тому, как доказательство может содержать элементы, которые определяют общую методологию, необходимую для получения математического результата, конкретные методы поиска, визуализации и анализа могут определять что-то в компьютерных экспериментах (нечто общее и пригодное для многоразового использования) и давать представление о некоторых основных идеях или принципах.
Как и многие математические журналы во времена Рамануджана, я создал журнал и форум, в которых могут быть представлены конкретные результаты о вычислительной вселенной (хотя по этим направлениям можно было бы сделать гораздо больше).
Когда полученное письмо содержит определенную математическую терминологию, то в нем присутствует хотя бы что-то конкретное, что можно понять. Однако сущствует много вещей, которые не могут быть сформулированы в математической терминологии. И слишком часто, к сожалению, письма, написанные на незамысловатом английском языке (или, что еще хуже для меня, на других языках), я понять не в состоянии. Однако теперь все чаще люди формулируют что-то с помощью Wolfram Language. В таком случае я всегда могу сказать, что именно кто-то пытается сказать, хотя я до сих пор не могу понять, важно ли содержимое письма или нет.
За долгие годы я познакомился с многими интересными людьми через письма, которые они мне писали. Они часто приезжают на нашу летнюю школу (см. статью "Летняя школа Wolfram: рассказ участника" на Хабре) или публикуют что-то в одном из наших каналов. У меня не было (пока что) настолько драматичной истории, какая была у Харди и Рамануджана. Очень хорошо, что таким образом возможно связаться с людьми — особенно в годы их становления. И я не могу забыть о том, что давным-давно я был 14-летним подростком, который отправил статьи об исследованиях, которые мне хотелось бы сделать, физикам со всего мира…
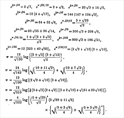
Что было бы, если бы у Рамануджана была Mathematica?
Рамануджан делал свои расчеты вручную — мелом на доске, а позже — карандашом на бумаге. На сегодняшний день мы обладаем очень мощными инструментами (Mathematica и Wolfram Language), с помощью которых можно проводить эксперименты и делать открытия в математике (не говоря уже о вычислительной вселенной в целом).
Интересно представить, что Рамануджан сделал бы с этими современными инструментами. Я думаю, что он находил бы в математической вселенной всякие необычные и удивительные вещи, а затем, используя свою интуицию и эстетическое чувство, смотрел бы, что сходится, а что нужно еще исследовать.
Рамануджан обладал замечательными навыками. Но мне кажется, что для того, чтобы пойти по его стопам, нужно быть смелым: не оставаться в комфорте хорошо зарекомендовавших себя математических теорий, а вместо этого выходить в более широкую математическую вселенную и начинать экспериментировать.
Для того, чтобы поместить многие открытия Рамануджана в более широкий и более абстрактный контекст, понадобился почти век. Рамануджан вдохновляет нас сделать большой шаг вперед — даже до того, как был понят более широкий контекст. И я надеюсь, что гораздо больше людей воспользуется теми инструментами, которые мы имеем сегодня, чтобы последовать примеру Рамануджана и сделать великие открытия в экспериментальной математике — напишут ли они об этом в письмах или нет.
Автор: Wolfram Research


