
Какое существо частенько ассоциируется в культуре человека с трудолюбием, выносливостью, коллективностью и даже ответственностью? Если вы подумали про пчел, то вы правы, но сегодня не о них. Сегодня мы поговорим о муравьях, и не о «простых», а о листорезах. С чего это мы вдруг решили поговорить о каких-то насекомых? Разве нет чего-то важнее. Не спешите с выводами, ибо эти маленькие трудоголики, усердно работающие на благо колонии (без внутривенного впрыскивания кофе) практически без отдыха, играют далеко не последнюю роль в формировании целой экосистемы. Вот что значит — маленький, да удаленький.
Конкретнее говоря, листорезы, как выяснили ученые, вырабатывают N2O (оксид азота), объем которого на три порядка превышает вырабатываемый резервуаром для очистки сточных вод. Таким образом листорезы играют одну из центральных ролей в механизме парникового эффекта неотропики. Как ученые проводили замеры, что конкретно им удалось выяснить, и что они предлагают делать с муравьями-листорезами? Ответы мы найдем в докладе исследовательской группы. Поехали.
Немного мирмекологии
Муравьи считаются одними из самых развитых семейств среди насекомых. Их колонии это один большой живой механизм, работающий практически без сбоев. На данный момент насчитывается, на секундочку, порядка 14000 видов муравьев, большая часть которых обитает в тропических регионах.

Героями же сегодняшнего исследования является не все семейство, а определенные виды муравьев: Atta и Acromyrmex, которые более известны под общим именем листорезы. Вы наверняка видели их как минимум в какой-нибудь документалке про Южную Америку. Название сего вида достаточно прямо говорит об их основных особенностях, по крайней мере тех, что сразу видны наблюдателю. Листорезы буквально отрезают кусочки листьев с помощью своих мощных верхних челюстей (мандибулы/жвалы) и переносят их к себе в колонию. Но они не питаются непосредственно листвой, она нужна им для сельского хозяйства. Да, эти маленькие трудяги — отличные фермеры.
В глубинах своей колонии листорезы разбивают грибковые сады, которые подпитывают, то бишь удобряют пережеванной листвой. Более крупные рабочие муравьи занимаются сбором листвы, а более мелкие — ее пережевыванием и созданием компоста.
Небольшой ролик о листорезах.
Также стоит отметить необычную особенность одного из исследуемых видов, Acromyrmex. Эти муравьи «оснащены» железой, вырабатывающей секрет необходимый для существования бактерии Streptomyces. Данная бактерия нужна муравьям как «вакцина» от пагубного воздействия грибов Escovopsis, которые являются некой формой сорняков-паразитов на ферме грибов в муравейнике.

Невероятно красочная Streptomyces coelicolor.
Особенности фермерства листорезов и рассматриваются в данном исследовании. Если точнее, то исследователи проанализировали отходы листорезов для выявления ранее неизвестных путей переработки N, которая приводит к выделению большого объема N2O в атмосферу, что является частью парниковых газов. Отходы были проанализированы с точки зрения химического и микробного состава.
Подготовка к наблюдениям
Образцы для исследования были собраны в тропических лесах Коста Рики (точная локация именуется Piro Biological Station). Главной особенностью данного региона является смешанность леса: одна часть (первичная) это нетронутые человеком леса, а вторая (вторичная) — вновь выросшие заросли на месте пастбищ 50-летней давности. Высота над уровнем моря варьируется от 0 до 100 метров. Среднегодовая температура составляет примерно 26 °C, а средний показатель осадков достигает 3400 мм. Погодные условия в течение года меняются от сухого сезона (январь — март) до дождливого с пиком в сентябре и октябре.

Изображение №1
Образцы были взяты из 22 колоний муравьев вида Atta colombica, которые были расположены на территории в 4 км2, затрагивающей как первичную зону, так и вторичную зону леса. Ученые записали координаты всех точек сбора образцов для дальнейшего анализа распространения газов по территории вокруг колоний. Также были проведены замеры области колоний и «свалок» отходов, в которые на глубину 3 см было помещено несколько труб (22 см в диаметре), закрытых сверху вентилируемыми ПВХ крышками. Это было сделано за 10 минут до взятия образов. В дальнейшем измерялась глубина, на которой спустя определенный тестовый период оказывались трубы. Таким образом можно было понять скорость выработки отходов.
Каждые 10 минут в течение получаса собирались образцы и помещались в предварительно вакуумированные колбы объемом 10 мл.
Образцы подвергались газовому анализу на наличие N2O, CO2 и CH4. Для этого использовался газовый хроматограф с метанатором, электронно-захватным детектором и пламенно-ионизационным детектором.
Образцы (отходы и почва) находились при температуре 48 °C в течение 3 дней и анализировались для определения потенциальной активности фермента денитрификации.
Денитрификация* — восстановление нитратов до нитритов, а потом и до газообразных оксидов и молекулярного азота.
Образцы из 10 зон забора были объединены в один, который был разделен на аликвоты. Далее, влечение 90 минут их инкубировали с или без добавления образца с поверхности мусорных куч.
Аликвота* — точно измеренная кратная доля образца.
Для определения микробной биомассы образцы по 8 грамм изымались за 1 час до и 3 дня спустя процесса фумигации хлороформом. Во время анализа особое внимание уделялось наличию в образцах органического углерода и азота, в чем помог анализатор Shimadzu TOC-V CPN / TNM-1.

Результаты наблюдений

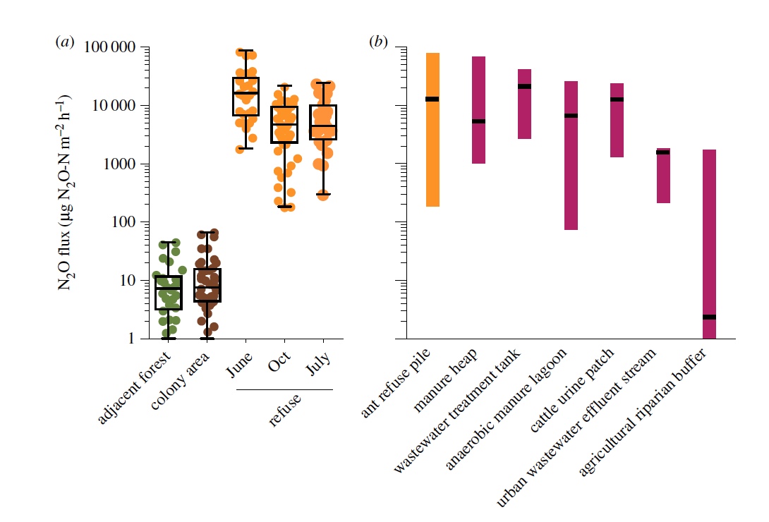
Изображение №2
Выбросы N2O из мусорных куч муравьев Atta colombica очень сильно варьировались: от 180 мг N2O-N m-2h-1 до 89000 мг N2O-N m-2h-1 (2а). Эти измерения отлично соотносятся с наблюдениями в реальной экосистеме, то есть в природе. Таким образом среднее значение вырабатываемого газа составляет 11200 мг N2O-N m-2h-1.
m-2h-1* — на квадратный метр в час.
На графике 2b показано сравнение выработки N2O мусорных куч листорезов и антропогенных структур (спроектированных или поддерживаемых человеком): анаэробные лагуны, постройки очистки сточных вод и т.д. И как показывает это сравнение, листорезы с задачей по выработке N2O справляются значительно лучше.
Объем вырабатываемого мусорными кучами газа сильно отличается от того, что ученые наблюдали в первичном и вторичном лесу. Когда выбросы мусорных куч достигли своего пика в июне 2017 года в начале сезона дождей, объем N2O из соседней колонии заметно не отличался от окружающих лесов (первичного и вторичного) и составлял порядка 67 мг (изображения 1b и 2а). Объем N2O, вырабатываемого самим лесом, окружающим колонии муравьев, составил 11 мг N2O-N m-2h-1, среднегодичный показатель так и вообще был всего лишь 2 мг.
Исследователи отмечают, что важнейшими микробными процессами в производстве закиси азота являются нитрификация и денитрификация, которые очень чувствительны к парциальному давлению кислорода и подаче субстрата. Следовательно, структура мусорных куч муравьев должна обладать некими особенностями, увеличивающими выработку N2O.

Изображение №3
И такая особенность была обнаружена, а именно повышенная концентрация N и сниженное соотношение C:N (углерода и азота) в мусоре, попадающем на свалку, — 13.5+1 (3f, 3e). Стоит сравнить это с соотношением C:N в тканях зеленой листвы (21+5) и опавшей листвы (32–42).
И тут обычная логика помогает немного приблизиться к разгадке: листва покрывает поверхность земли в лесу достаточно равномерно, в то время как муравьи стаскивают ее в одну небольшую зону, тем самым повышая концентрацию органических отходов. Анализ данных показал, что концентрация азота в мусорных кучах в 5 раз выше, чем в подстилке окружающего леса. При этом невероятно высокая концентрация NH4 (в 500 раз выше) и очень низкая концентрация NO3- (3g, 3h) в совокупности с признаками аноксии являются факторами денитрификации, а не нитрификации, как основного механизма выработки N2O.
Аноксия, то есть отсутствие кислорода, подтверждается еще и высокой концентрацией метана (CH4) — от 0.01 до 250 мг CH4-C m-1 h-1. Учитывая, что метаногенез при показателе рН 5,5, в точь как в мусорных кучах, значительно менее эффективен, чем денитрификация. Это говорит о том, что окислительно-восстановительные потенциалы мусорных куч могут сильно снизиться. Сравнив потенциальную активность фермента денитрификации в мусорных кучах и в окружающей лесной подстилке, ученые обнаружили, что в кучах этот показатель в 25 раз выше (3d).
Таким образом можно сделать вывод, что мусорные кучи листорезов являются очень слаженным «механизмом» выработки CO2, CH4 и закиси азота, ввиду наличия определенных факторов: большого объема микробной биомассы, доступности субстрата, идеальных абиотических условий и т.д. Единственно, что остается не до конца ясным это разница в объеме вырабатываемого N2O между разными мусорными кучами. Другими словами, вышеперечисленные факторы для разных мусорных свалок практически идентичны. Ученые считают, что разница в показателе N2O может зависеть от более внутренних факторов, так сказать от индивидуальности структуры мусорных куч: микроклимат, влияние других живых организмов, качество корма, изменения микробной биомассы, состояние колонии (особей) и т.д.

Изображение №4
Далее исследователи собрали воедино следующие показатели: объем вырабатываемого листорезами N2O, площадь мусорных куч, плотность мусорных куч как в первичном, вторичном лесах, так и в пограничных зонах. Совокупность этих данных дает возможность понять насколько в глобальном масштабе выработка листорезами N2O влияет на атмосферу и экосистему неотропики.
А теперь самое интересное. На квадратный гектар в год мусорные кучи листорезов при среднем показателе плотности в 1.2 на га2 вырабатывают порядка 0.01–0.35 кг N2O-N. А это 200% выработки N2O подстилкой самого леса (первичного).
Исследователи отмечают, что в природе периодически возникают скачки выработки N2O, связанные с резкими изменениями экосистемы (погодные условия, например). Однако в мусорных кучах листорезов температура остается достаточно стабильной на протяжении всего года. А очень частые дожди дополнительно поставляют в мусорные кучи обогащенную азотом влажную органическую массу, что способствует выработке большого объема N2O.
Также большую роль играет и «миграция» колоний листорезов по территории леса. Перебираясь на новое место, муравьи оставляют как колонию, так и мусорную свалку, которая разлагается в течение 1 года. Однако даже после этого в почве сохраняется повышенная концентрация азота. А это наталкивает на мысли, что даже заброшенные мусорные кучи продолжают генерировать N2O, уже без участия своих бывших хозяев-муравьев.
Для более детального ознакомления с нюансами исследования настоятельно рекомендую заглянуть в доклад исследовательской группы и дополнительные материалы к нему.
Эпилог
Основным умозаключением сего исследования является факт того, что жизнедеятельность листорезов играет значительную роль в формировании экосистемы целого региона. Мусорные свалки листорезов являются уникальными структурами, обладающими необычными химическими характеристиками, которые в совокупности способствуют массивной выработке N2O.
Своим трудом ученые лишний раз доказывают насколько бывает сильно влияние маленьких организмов на окружающую среду. Все в природе взаимосвязано. Но порой мы не до конца понимаем как и где эта связь проявляется и на что она влияет. Что ж, благодаря этому исследованию мы знаем о нашем большом и загадочном мире чуть больше.
Документальный фильм «Аттенборо и Империя Муравьев» (BBC, 2018 год). Ведущий программы — Дэвид Аттенборо, чей голос наверняка многим из вас знаком по множеству других документальных фильмах о флоре и фауне.
«Путешествие муравья» (Союзмультфильм, 1983 год). Один из самых любимых отечественных мультфильмов детства, который очень быстро разобрали на цитаты (вроде «Нахал!», «-Так ты же козявка. -От козявки слышу!» или «Эх, молодежь»). Приятного просмотра. :)
Благодарю за внимание, оставайтесь любопытствующими и отличных всем выходных, ребята.
Спасибо, что остаётесь с нами. Вам нравятся наши статьи? Хотите видеть больше интересных материалов? Поддержите нас оформив заказ или порекомендовав знакомым, 30% скидка для пользователей Хабра на уникальный аналог entry-level серверов, который был придуман нами для Вас: Вся правда о VPS (KVM) E5-2650 v4 (6 Cores) 10GB DDR4 240GB SSD 1Gbps от $20 или как правильно делить сервер? (доступны варианты с RAID1 и RAID10, до 24 ядер и до 40GB DDR4).
(KVM) E5-2650 v4 (6 Cores) 10GB DDR4 240GB SSD 1Gbps до весны бесплатно при оплате на срок от полугода, заказать можно тут.
Dell R730xd в 2 раза дешевле? Только у нас 2 х Intel Dodeca-Core Xeon E5-2650v4 128GB DDR4 6x480GB SSD 1Gbps 100 ТВ от $249 в Нидерландах и США! Читайте о том Как построить инфраструктуру корп. класса c применением серверов Dell R730xd Е5-2650 v4 стоимостью 9000 евро за копейки?
Автор: Dmytro_Kikot
