Сразу хочу предупредить, что этот топик не совсем по тематике Хабра, но в комментариях к посту про разработанный в MIT элемент идею вроде бы поддержали, так что ниже я опишу некоторые соображения о биотоливных элементах.
Работа, на основе которой написан данный топик, выполнялась мной в 11 классе, и заняла второе место на международной конференции INTEL ISEF.
Топливный элемент – химический источник тока, в котором химическая энергия восстановителя (топлива) и окислителя, непрерывно и раздельно подаваемых к электродам, непосредственно превращается в электрическую
энергию. Принципиальная схема топливного элемента (ТЭ) представлена ниже:

ТЭ состоит из анода, катода, ионного проводника, анодной и катодной камеры. На данный момент мощности биотопливных элементов недостаточно для использования в промэшленных масшатабах, но БТЭ с небольшой мощностью могут использоваться для медицинских целей как чувствительные датчики поскольку сила тока в них пропорциональна количеству перерабатываемого топлива.
К настоящему времени предложено большое число конструктивных разновидностей ТЭ. В каждом конкретном случае конструкция ТЭ зависит от назначения ТЭ, типа реагента и ионного проводника. В особую группу выделяют биотопливные элементы, в которых используются биологические катализаторы. Важной отличительной чертой биологических систем является их способность к селективному окислению различных топлив при низкой температуре.
В большинстве случаев в биоэлектрокатализе используют иммобилизованные ферменты, т.е. ферменты, выделенные из живых организмов и закрепленные на носителе, но сохранившие при этом каталитическую активность (частично или полностью), что позволяет использовать их повторно. Рассмотрим на примере биотопливный элемент, в котором ферментативная реакция сопряжена с электродной при использовании медиатора. Схема биотопливного элемента на основе глюкозооксидазы:

Биотопливный элемент состоит из двух инертных электродов из золота, платины или углерода, погруженных в буферный раствор. Электроды разделены ионообменной мембраной: анодное отделение продувается воздухом, катодное — азотом. Мембрана позволяет пространственно разделить реакции, протекающие в электродных отделениях элемента, и в тоже время обеспечивает обмен протонами между ними. Подходящие для биосенсоров мембраны разных типов выпускаются в Великобритании многими фирмами (ВДН, ВИРОКТ).
Введение глюкозы в биотопливный элемент, содержащий глюкозооксидазу и растворимый медиатор, при 20 °С приводит к возникновению потока электронов от фермента к аноду через медиатор. По внешней цепи электроны идут к катоду, где в идеальных условиях в присутствии протонов и кислорода образуется вода. Результирующий ток (в отсутствие насыщения) пропорционален добавке скоростьопределяющего компонента (глюкозы). Измеряя стационарные токи, можно быстро (5с) определить даже малые концентрации глюкозы — до 0,1 мМ. Как сенсор, описанный биотопливный элемент, имеет определенные ограничения, связанные с присутствием медиатора и определенными требованиями к кислородному катоду и мембране. Последняя должна удерживать фермент и в тоже время пропускать низкомолекулярные компоненты: газ, медиатор, субстрат. Ионообменные мембраны, как правило, удовлетворяют этим требованиям, хотя их диффузионные свойства зависят от рН буферного раствора. Диффузия компонентов через мембрану приводит к снижению эффективности переноса электрона вследствие побочных реакций.
На сегодняшний день имеются лабораторные модели топливных элементов с ферментными катализаторами, которые по своим характеристикам не отвечают требованиям их практического применения. Основные усилия в ближайшие несколько лет будут направлены на доработку биотопливных элементов и дальнейшее применение биотопливного элемента будет связано большей степенью с медициной, например: вживляемый биотопливный элемент, использующий кислород и глюкозу.
При использовании ферментов в электрокатализе главной проблемой, требующей решения, является проблема сопряжения ферментативной реакции с электрохимической, то есть обеспечение эффективного транспорта электронов с активного центра фермента на электрод, что может достигаться следующими путями:
1. Перенос электронов с активного центра фермента на электрод с помощью низкомолекулярного переносчика — медиатора (медиаторный биоэлектрокатализ).
2. Непосредственное, прямое окисление и восстановление активных центров фермента на электроде (прямой биоэлектрокатализ).
При этом медиаторное сопряжение ферментативной и электрохимической реакции в свою очередь можно осуществить четырьмя способами:
1) фермент и медиатор находятся в объеме раствора и медиатор диффундирует к поверхности электрода;
2) фермент находится на поверхности электрода, а медиатор в обьеме раствора;
3) фермент и медиатор иммобилизованы на поверхности электрода;
4) медиатор пришит к поверхности электрода, а фермент находится в растворе.
В данной работе катализатором катодной реакции восстановления кислорода служила лакказа, а катализатором анодной реакции окисления глюкозы — глюкозооксидаза (ГОД). Ферменты использовались в составе композитных материалов, создание которых является одним из наиболее важных этапов создания биотопливных элементов, одновременно выполняющих функцию аналитического датчика. Биокомпозитные материалы в данном случае должны обеспечивать селективность и чувствительность определения субстрата и в тоже время обладать высокой биоэлектрокаталитической активностью, приближающейся к ферментативной.
Лакказа представляет собой Cu-содержащую оксидоредуктазу, основной функцией которой в нативных условиях является окисление органических субстратов (фенолы и их производные) кислородом, который при этом восстанавливается до воды. Молекулярная масса фермента составляет 40000 г/моль.

К настоящему времени показано, что лакказа является наиболее активным электрокатализатором восстановления кислорода. В ее присутствии на электроде в атмосфере кислорода устанавливается потенциал близкий к равновесному кислородному потенциалу, и восстановление кислорода протекает непосредственно до воды.
В качестве катализатора катодной реакции (восстановления кислорода) использовали композитный материал на основе лакказы, ацетиленовой сажи АД-100 и нафиона. Особенностью композита является структура, обеспечивающая ориентацию молекулы фермента по отношению к электронпроводящей матрице, необходимую для прямого переноса электрона. Удельная биоэлектрокаталитическая активность лакказы в композите приближается к наблюдаемой в ферментативном катализе. Способ сопряжения ферментативной и электрохимической реакции в случае лакказы, т.е. способ переноса электрона от субстрата через активный центр фермента лакказы на электрод, – прямой биэлектрокатализ.
Глюкозокооксидаза (ГОД) – фермент класса оксидоредуктаз, имеет две субъединицы, каждая из которых имеет свой активный центр – (флавинадениндинуклеотид) ФАД. ГОД является ферментом, селективным по отношению к донору электронов – глюкозе, а в качестве акцепторов электронов может использовать многие субстраты. Молекулярная масса фермента составляет 180000 г/моль.

В работе использовали композитный материал на основе ГОД и ферроцена (Фц) для анодного окисления глюкозы по медиаторному механизму. Композитный материал включает ГОД, высокодисперсный коллоидный графит (ВКГ), Фц и нафион, что позволило получить электронопроводящую матрицу с высокоразвитой поверхностью, обеспечить эффективный транспорт реагентов в зону реакции и стабильные характеристики композитного материала. Способ сопряжения ферментативной и электрохимической реакций, т.е. обеспечение эффективного транспорта электронов от активного центра ГОД на электрод – медиаторный, при этом фермент и медиатор были иммобилизованы на поверхности электрода. В качестве медиатора — акцептора электронов – использовали ферроцен. При окислении органического субстрата – глюкозы, ферроцен восстанавливается, а затем окисляется на электроде.
Если кому-то интересно, я могу подробно описать процесс получения покрытия электородов, но за этим лучше пишите в личку. А в топике я просто опишу полученную структуру.

1. АД-100.
2. лакказа.
3. гидрофобная пористая подложка.
4. нафион.
После того, как электорды получены мы перешли непосредственно к экспериментальной части. Вот так выглядела наша рабочая ячейка:

1. электрод сравнения Ag/AgCl;
2. рабочий электрод;
3. вспомогательный электрод — Рt.
В опыте с глюкозооксидазой — продувка аргоном, с лакказой — кислородом.
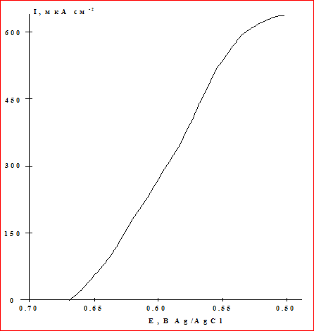
Восстановление кислорода на саже в отсутствии лакказы происходит при потенциалах ниже нуля и происходит в две стадии: через промежуточное образование перекиси водорода. На рисунке представлена поляризационная кривая электровосстановления кислорода лакказой иммобилизованной на АД-100, полученная в атмосфере кислорода в растворе с рН 4,5. В этих условиях устанавливается стационарный потенциал близкий к равновесному кислородному потенциалу (0,76 В). При потенциалах катоднее 0,76 В на ферментном электрода наблюдается каталитическое восстановление кислорода, которое протекает по механизму прямого биоэлектрокатализа непосредственно до воды. В области потенциалов катоднее 0,55 В на кривой наблюдается плато, которое соответствует предельному кинетическому току восстановления кислорода. Величина предельного тока составила около 630 мкА/см2.

Электрохимическое поведение композитного материала, на основе ГОД нафиона, ферроцена и ВКГ, исследовали методом циклической вольтамперометрии (ЦВА). Состояние композитного материала в отсутствии глюкозы в фосфатно-буферном растворе контролировали по кривым заряжения. На кривой заряжения при потенциале (–0,40) В наблюдаются максимумы относящиеся редокс-превращениям активного центра ГОД – (ФАД), а при 0,20-0,25 В максимумы окисления и восстановления ферроцена.

Из полученных результатов следует, что на основе катода с лакказой, в качестве катализатора кислородной реакции, и анода на основе глюкозооксидазы для окисления глюкозы, существует принципиальная возможность создания биотопливного элемента. Правда на этом пути есть множество препятствий, например пики активности ферментов наблюдаются при разном pH. Это привело к необходимости добавлять в БТЭ ионообменную мембрану.Мембрана позволяет пространственно разделить реакции, протекающие в электродных отделениях элемента, и в тоже время обеспечивает обмен протонами между ними. В анодное отделение поступает воздух.
Введение глюкозы в биотопливный элемент, содержащий глюкозооксидазу и медиатор, приводит к возникновению потока электронов от фермента к аноду через медиатор. По внешней цепи электроны идут к катоду, где в идеальных условиях в присутствии протонов и кислорода образуется вода. Результирующий ток (в отсутствие насыщения) пропорционален добавке скоростьопределяющего компонента — глюкозы. Измеряя стационарные токи, можно быстро (5с) определить даже малые концентрации глюкозы — до 0,1 мМ.
К сожалению довести идею этого БТЭ до практического внедрения мне не удалось, т.к. сразу после 11 класса я пошёл учиться на программиста, чем усердно занимаюсь и сегодня. Спасибо всем, кто осилил.
Автор: GORKOFF
