- PVSM.RU - https://www.pvsm.ru -
[1] Привет, Хаброжители!
Люди, увлекающиеся космосом, наверняка знают Шона Кэрролла: известного популяризатора науки и космолога, которого часто сравнивают со Стивеном Хокингом.
Все его книги сразу после выхода становились бестселлерами Амазон: «Квантовые миры и возникновение пространства-времени» [2], «Вселенная. Происхождение жизни, смысл нашего существования и огромный космос» [3], «Вечность. В поисках окончательной теории времени»…
Наша новинка открывает серию книг Шона Кэрролла, посвященную «Величайшим идеям Вселенной». Знакомьтесь — «Пространство, время и движение». Невероятная находка для тех, кто боится физики и математики, но хочет познакомиться с временем и пространством, не продираясь через загадочные формулы и уравнения.
В этой же статье мы побольше расскажем о книге «Пространство, время и движение. Величайшие идеи Вселенной», а также прольём свет на такое явление как энтропия чёрных дыр.
Достижения Шона Кэрролла в научной и популяризаторской деятельности отмечены рядом престижных наград, среди которых Премия Эндрю Геманта (присуждается Американским институтом физики за значительный вклад в развитие физики) и Премия Уинтона Королевского общества (ею награждаются авторы лучших научно-популярных книг).
Ученые уже давно разгадали многие тайны нашего мира и Вселенной, но зачастую эти знания выражаются в виде сложных формул, которые могут выглядеть как беспорядочное нагромождение символов и букв. Благодаря Шону Кэрроллу вы сможете увидеть в этих формулах нечто большее — вдохновляющую поэзию и невероятную красоту, которая откроет перед вами двери в удивительное многомерное пространство-время. Это пространство населено сияющими гигантами и пронизано могучими силами, где каждый элемент физики становится частью грандиозной картины.
По своей сути, высшая математика — это как полированный алмаз, достойный восхищения, так же как и великие произведения искусства вроде «Мона Лизы». На этом языке написаны научные поэмы о черных дырах и других фантастических явлениях. Книга «Величайшие идеи Вселенной» написана в лучших традициях лекций Ричарда Фейнмана, прочитанных шестьдесят лет назад, и служит ярким прожектором, позволяющим людям из различных культур и поколений взглянуть на окружающий мир с новой стороны.
Тем не менее, реальность такова, что физика, даже в сравнении с другими научными дисциплинами, часто остаётся закрытой для широкой аудитории. Это во многом связано с тем, что физики коммуницируют на специализированном языке, насыщенном математическими терминами, которые могут быть непонятны обычным людям. Возможно, в этом есть своя логика, но ситуации можно изменить. Ключ к изменению кроется в том, как физики передают свои знания обществу. Если вам интересна современная физика и вы не являетесь специалистом, у вас есть два основных пути.
Первый из них предполагает ознакомление с научными концепциями на общедоступном уровне, без погружения в технические детали. Для этого существует огромное количество книг, лекций, видео и подкастов, которые помогут приоткрыть занавес в научный мир. Однако со временем вы можете почувствовать, что в этих материалах не хватает глубины и реальных знаний, к которым хотелось бы стремиться.
Второй путь — это обучение на физическом факультете или самообразование, что требует знания высшей математики и достаточно много времени на изучение основ. Вам предстоит освоить такие дисциплины, как дифференциальное исчисление, линейная алгебра и квантовая механика. Однако до того, как вы сможете обсуждать более сложные темы, может пройти много лет, и большинство студентов заканчивают обучение без глубокого понимания таких областей, как физика частиц или космология.
Преодолеть пропасть между любителем, использующим метафоры для понимания, и специалистом, обращающимся к сложным уравнениям, вполне возможно. Серия книг «Величайшие идеи Вселенной» основана на убеждении, что каждый человек, даже не стремящийся стать профессионалом, способен постигать современную физику, опираясь на свои знания школьной математики. Достаточно лишь подумать над формулами и стремиться понять их смысл. Если вы готовы к этому, перед вами откроется новый и захватывающий мир, полный удивительных открытий и знаний. Каждая книга из серии помогает перепрыгнуть пропасть между популярной наукой и академическим уровнем. Чтобы понять сложные концепции, достаточно школьных знаний математики. Шон Кэрролл обладает уникальным талантом объяснять сложные концепции, которые долгое время оставались закрытыми для широкой аудитории. Он мастерски доносит до читателя фундаментальные идеи, лежащие в основе реальной физики, делая это в увлекательной и доступной форме.
В книге «Пространство, время и движение», рассказывается о классических законах, открытых Ньютоном, которые оставались актуальными вплоть до квантовой революции двадцатого века. Шон Кэролл не ограничивается простыми примерами, такими как движение блока по наклонной плоскости, хотя эти темы и важны. Вместо этого внимание сосредоточится на более глубоких и сложных вопросах о природе пространства и времени.
Очень важно упомянуть о теории относительности Эйнштейна. В книге раскрывается концепция искривленного пространства-времени и обсуждаются последствия, выросшие из этого “искривления”, такие как черные дыры. Таким образом, удастся вынырнуть из глубины идей многовековой давности и читатель окажется на современном фронте физики. Это послужит мостом между прошлым и настоящим.
В итоге получится рассмотреть множество концепций, которые в большинстве своем относятся непосредственно к физике и смежным наукам. Чёткие границы разделяют «достаточно проверенные идеи» и «многообещающие гипотезы». Первая категория включает в себя основополагающие концепции, на которых строятся учебники физики, в то время как вторая представляет собой мир интересных предположений и гипотез, полных возможностей и радости для искателей нового знания.
Подводя итог, стоит отметить, что исследования в области физики не ограничиваются известными фактами. Чаще всего они находятся на тонкой грани стабильности известного мира и новых открытий, расширяющих изученные границы. Цель «Величайших идей Вселенной» — рассказ о концепциях, которые останутся актуальными и через столетие.
Одной из таких концепций являются чёрные дыр. Увлекательная статья известного космолога Шона Кэрролла познакомит вас с энтропией этих удивительных объектов вселенной.
Согласно теории относительности Эйнштейна, чёрная дыра — это область пространства-времени, отличающаяся такой исключительной кривизной, что даже свет не может вырваться за пределы данной области. Физические тела (объекты, движущиеся медленнее света и неспособные превысить скорость света) могут проникнуть сквозь «горизонт событий», то есть, внешнюю границу чёрной дыры, но не могут вернуться из пределов дыры в окружающий мир. Именно поэтому чёрные дыры черны, ведь весь свет остаётся внутри них. Вот так чёрную дыру можно описать в терминах классической физики, в состав которой входит и теория относительности. Но, если обогатить эту картину идеями квантовой физики, то диспозиция важным образом меняется во многих отношениях. Формулировка «обогатить идеями квантовой физики» — немного зыбкая, корректнее было бы выразиться «рассмотреть истинное квантовое описание системы». Но пока в физике нет теории, которая полностью удовлетворяла бы законам как квантовой механики и при этом описывала гравитацию, отсюда такая неоднозначность.
Однажды в начале 1970-х Джеймс Бардин, Брендон Картер и Стивен Хокинг указали на сходство между свойствами чёрных дыр и старыми добрыми законами термодинамики. Например, одна из формулировок второго закона термодинамики («Энтропия изолированной системы не может уменьшаться») аналогична хокинговской теореме о площадях: «сумма площадей горизонтов событий черных дыр в ходе любых классических процессов не убывает со временем». В тот период Яаков Бекенштейн был аспирантом и работал в Принстоне под руководством Джона Уилера. Бекенштейн и предложил отнестись к этой аналогии более серьёзно, чем имели в виду её авторы. Он предположил, что площадь горизонта событий чёрной дыры и есть мера её энтропии или, как минимум, пропорциональна этой величине.
Хокинг отнёсся к этому раздражённо и попытался доказать неправоту Бекенштейна. В конце концов, если чёрные дыры обладают энтропией, то у них должна быть и температура, а все объекты с ненулевой температурой испускают излучение чёрного тела. Нам же известно, что чёрные дыры действительно чёрные. Но в итоге Хокинг доказал, что Бекенштейн прав; у чёрных дыр действительно есть и энтропия, и температура, и ещё они испускают излучение. Теперь применительно к чёрным дырам принято говорить об «энтропии Бекенштейна-Хокинга».
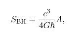
Рассмотрим чёрную дыру, площадь горизонта событий которой равна А.
Тогда энтропия Бекенштейна-Хокинга вычисляется по формуле

где с – скорость света, G — ньютоновская гравитационная постоянная, а h — квантовомеханическая постоянная Планка. Формула простая, но уже интригует, так как здесь, по-видимому, в одном выражении сочетаются теория относительности (с), гравитация (G) и квантовая механика (h). Эта формула подсказывает, что ситуация как-то связана с квантовой гравитацией. Действительно, вот уже более сорока лет физики-теоретики всеми силами пытаются понять энтропию чёрных дыр и определить, что из неё следует. В рамках этой работы был сформулирован голографический принцип [4], описана комплементарность чёрных дыр [5], предложено АдС/КТП-соответствие [6], а также активно исследовался парадокс исчезновения информации в чёрной дыре [7].
Но не решена и более ранняя загадка: что в принципе представляет собой энтропия чёрных дыр? Какую физическую величину она описывает?
Феномен энтропии [8] как таковой был предложен в процессе разработки термодинамики в середине 19 века. Энтропия нужна для того, чтобы охарактеризовать, как энергия переходит из потенциально полезной формы (когда она заключена в топливе, винтовой пружине) в бесполезную теплоту, рассеивающуюся в окружающей среде. Можно сказать, что это было «феноменологическое» представление, определённое в терминах физических величин, наблюдаемых в макромире, например, теплоты и температуры. Но оно не было подкреплено каким-либо базисом, теорией, которая работала бы и в микромире. Но вскоре появились и более фундаментальные определения, когда учёные — например, Максвелл, Больцман и Гиббс — приступили к разработке статистической механики. Они показали, что термодинамические идеи можно вывести из более базовых идей, описывающих атомы и молекулы. Хокинг дал определение энтропии чёрных дыр именно в феноменологическом духе. Он показал, что чёрные дыры отдают излучение, и у этого излучения есть температура. Затем на основе стандартных термодинамических отношений, связывающих энтропию, энергию и температуру, вывел свою формулу энтропии. Однако она всё равно не даёт нам никакого ясного представления о том, что же такое энтропия на самом деле.
Одна из причин, по которым концепция энтропии кажется такой запутанной — в том, что под этим термином объединено несколько понятий. Крайне упрощая эту ситуацию, давайте рассмотрим три различных способа, которыми энтропию можно соотнести с физикой микромира, и назовём каждый из этих вариантов в честь одного из знаменитых физиков:
Кажется, что всё это очень разные вещи, но есть формулы, позволяющие проследить взаимосвязь между ними в подходящих обстоятельствах. Общая черта всех этих определений заключается в том, что система имеет множество микроскопических «степеней свободы» (вариантов протекания событий) и может находиться в одном из множества макроскопических состояний. Но мы описываем систему в некотором грубом макроскопическом приближении, не зная точно, в каком именно состоянии она сейчас находится. Энтропии Больцмана и Гиббса вызывают обеспокоенность, так как кажутся субъективными. Кажется, что мы произвольным образом членим пространство на макросостояния или явно ссылаемся на то, что сами представляем и знаем. Энтропия фон Неймана — это хотя бы объективный факт о системе. Этот факт можно соотнести с другими, уподобив волновую функцию систему классическому микросостоянию. Из-за запутанности квантовую подсистему обычно не удаётся описать всего одной волновой функцией, поэтому энтропия фон Неймана (примерно) измеряет, сколько различных квантовых состояний нужно учесть, чтобы оценить степень запутанности квантовой системы с окружающим миром.
Так к какому же из этих феноменов относится энтропия чёрной дыры? Честно говоря, наверняка мы не знаем. Большинство учёных склоняется к тому, что энтропия чёрных дыр имеет фон неймановскую природу, но детали этой картины ещё обсуждаются.
Есть одна зацепка: известно, что энтропия чёрной дыры пропорциональна площади её горизонта событий. Какое-то время этот факт казался большим сюрпризом, поскольку, скажем, в ёмкости с газом энтропия пропорциональна общему объёму сосуда, а не площади его поверхности. Но постепенно мы пришли к выводу, что нет никаких причин трактовать чёрные дыры как ёмкости с газом. В квантовой теории поля области пространства обладают ненулевой фон неймановской энтропией даже в вакууме, поскольку моды квантовых полей в рамках такой области запутаны с модами полей, находящихся извне. Остаётся радоваться, что эта энтропия (часто приблизительно) пропорциональна [9] площади этого региона. Так происходит по той простой причине, что моды полей с одной стороны границы сильно запутаны с модами, находящимися прямо с другой стороны, и слабее запутаны с модами более отдалённых полей. Поэтому может ли быть, что энтропия чёрной дыры — это просто энтропия запутанности некоторой области в пустом пространстве?
Ах, если бы всё было так просто. Но здесь мешают два факта. Во-первых, Бекенштейн отметил ещё одно важное свойство чёрных дыр: они обладают не просто энтропией, а максимальной энтропией, какую можно вместить в область фиксированного размера (предел Бекенштейна [10]). Этот феномен очень отличается от энтропии запутанности некоторого региона вакуума согласно квантовой теории поля. Ведь в квантовой теории поля легко представить увеличение энтропии, нарастив запутанность между степенями свободы, скрытыми внутри области, и очень далёкими от неё. Поэтому мы опять возвращаемся к вопросу, почему энтропия чёрной дыры пропорциональна площади её горизонта событий, если это максимальная энтропия, которой может обладать данная область пространства. Рассуждая именно в таком духе, мы подходим к голографическому принципу. Согласно этому принципу, следует считать, что все степени свободы из всего объёма чёрной дыры «на самом деле» находятся у неё на поверхности, а не распределены внутри равномерно. Классический пример такой философии – это мембранная парадигма [11], принятая в астрофизике чёрных дыр.
Вторая преграда, не позволяющая интерпретировать энтропию чёрной дыры просто как степень запутанности квантовых полей заключается в том простом факте, что эта величина выражается конечным числом. Тогда как энтропия запутанности в понятиях квантовой теории поля пропорциональна площади границы этого региона, постоянная пропорциональности равна бесконечности, поскольку множество мод квантовых полей бесконечно велико. Почему тогда энтропия чёрной дыры просто не бесконечна? Может быть, следует понимать энтропию чёрной дыры как избыток запутанности сверх энтропии вакуума (также именуется энтропией Казини [12]). Может быть тогда, возвращаясь к доводу Бекенштейна, что чёрные дыры обладают максимальной энтропией, которую можно уместить в области пространства, весь игнорируемый при этом дополнительный объём энтропии просто недоступен для наблюдения? Возможно также, что избыточной энтропии там вообще нет. Именно из-за таких рассуждений некоторые с неохотой готовы предположить, что количество квантовых степеней свободы в пространстве-времени на самом деле конечно [13], а не бесконечно, как могло бы показаться из наивной современной квантовой теории поля, не учитывающей гравитацию.
Так что, тайны остаются. Но нельзя сказать, что мы не узнали ничего нового. Сам факт, что чёрным дырам присуща какая-то энтропия, подразумевает, что чёрные дыры можно считать совокупностями макроскопических степеней свободы того или иного рода. Согласно теории струн, в некоторых специфических обстоятельствах эти степени свободы даже можно идентифицировать [14].) Всё это сильнейшим образом меняет наши представления о них в классической (неквантовой) теории относительности. Считается, что внешне чёрные дыры абсолютно ровные (Бекенштейн, развивая другую идею, называл их «безволосыми [15]», и, как только чёрная дыра сформируется и устоится, внутри неё больше ничего не происходит. Но квантовая механика свидетельствует, что всё иначе. Мы пока не полностью понимаем, к чему это нас приведёт, но, определённо, мы нащупали какие-то ниточки о природе самого пространства-времени. Найти их было непросто, поэтому остаётся радоваться, что они у нас есть.
Более подробно с книгой можно ознакомиться на сайте издательства [16]:
» Оглавление [17]
» Отрывок [18]
По факту оплаты бумажной версии книги на e-mail высылается электронная книга.
Для Хаброжителей скидка 25% по купону — Вселенная
Автор: ph_piter
Источник [19]
Сайт-источник PVSM.RU: https://www.pvsm.ru
Путь до страницы источника: https://www.pvsm.ru/perevod/405357
Ссылки в тексте:
[1] Image: https://habr.com/ru/companies/piter/articles/866984/
[2] «Квантовые миры и возникновение пространства-времени»: https://www.piter.com/collection/nauchno-populyarnaya-literatura/product/kvantovye-miry-i-vozniknovenie-prostranstva-vremeni?utm_source=habr&utm_medium=post&utm_campaign=universe&utm_content=kvantovye-miry&utm_term=book
[3] «Вселенная. Происхождение жизни, смысл нашего существования и огромный космос»: https://www.piter.com/collection/nauchno-populyarnaya-literatura/product/vselennaya-proishozhdenie-zhizni-smysl-nashego-suschestvovaniya-i-ogromnyy-kosmos-2?utm_source=habr&utm_medium=post&utm_campaign=universe&utm_content=vselennaya&utm_term=book
[4] голографический принцип: https://en.wikipedia.org/wiki/Holographic_principle
[5] комплементарность чёрных дыр: https://en.wikipedia.org/wiki/Black_hole_complementarity
[6] АдС/КТП-соответствие: https://en.wikipedia.org/wiki/AdS/CFT_correspondence
[7] исчезновения информации в чёрной дыре: https://en.wikipedia.org/wiki/Black_hole_information_paradox
[8] энтропии: https://en.wikipedia.org/wiki/Entropy
[9] пропорциональна: https://arxiv.org/abs/hep-th/9303048
[10] предел Бекенштейна: https://en.wikipedia.org/wiki/Bekenstein_bound
[11] мембранная парадигма: https://en.wikipedia.org/wiki/Membrane_paradigm
[12] энтропией Казини: https://arxiv.org/abs/0804.2182
[13] конечно: https://arxiv.org/abs/1704.00066
[14] степени свободы даже можно идентифицировать: https://arxiv.org/abs/hep-th/9601029
[15] безволосыми: https://en.wikipedia.org/wiki/No-hair_theorem
[16] сайте издательства: https://www.piter.com/collection/nauchno-populyarnaya-literatura/product/prostranstvo-vremya-i-dvizhenie-velichayshie-idei-vselennoy?utm_source=habr&utm_medium=post&utm_campaign=universe&utm_content=prostranstvo-vremya&utm_term=book
[17] Оглавление: https://www.piter.com/collection/nauchno-populyarnaya-literatura/product/prostranstvo-vremya-i-dvizhenie-velichayshie-idei-vselennoy?utm_source=habr&utm_medium=post&utm_campaign=universe&utm_content=prostranstvo-vremya&utm_term=oglavlenie#Oglavlenie-1
[18] Отрывок: https://www.piter.com/collection/nauchno-populyarnaya-literatura/product/prostranstvo-vremya-i-dvizhenie-velichayshie-idei-vselennoy?utm_source=habr&utm_medium=post&utm_campaign=universe&utm_content=prostranstvo-vremya&utm_term=otrivok#Otryvok-1
[19] Источник: https://habr.com/ru/companies/piter/articles/866984/?utm_campaign=866984&utm_source=habrahabr&utm_medium=rss
Нажмите здесь для печати.