- PVSM.RU - https://www.pvsm.ru -
После запуска в какой-то мере скандального сервиса MEGA разговоры о его защищенности немного побурлили и затихли. На сегодняшний день сервис живет своей жизнью и его никто даже не поломал. Из всех разговоров почему-то был упущен термин «User Controlled Encryption» (UCE, или Контролируемая пользователем криптография), которой кичится MEGA. Под словом «упущен» я подразумеваю тот факт, что мы не рассмотрели все возможности, которые дает нам криптографический движок, выполняющийся в JavaScript на стороне клиента.
Конечно, сам сервис MEGA под этим подразумевает всего лишь то, что ключи шифрования не хранятся на сервере, а вся их криптография выполняется в контексте браузера. При этом после запуска сервиса было много разговоров о том, что в нем используются нестойкие криптографические алгоритмы и что вообще все плохо и мы все умрем, а наши файлы прочитает ФСБ. Это подтолкнуло меня на мысль расширить понятие «UCE» и действительно взять криптографию под свой контроль, а именно — заменить или дополнить некоторые механизмы обеспечения безопасности сервиса.
В этой статье я частично разложу по полочкам магию, которая происходит в двух мегабайтах JavaScript-кода MEGA и покажу, как можно переопределить некоторые методы, чтобы перестать волноваться и полюбить криптографию. В результате мы получим сервис облачного хранения файлов с двухфакторной аутентификацией и аппаратным шифрованием критически важной информации.
Итак, начнем с того, что рассмотрим технологии, на которых построена клиентская часть сервиса, как происходит регистрация новых пользователей, аутентификация зарегистрированных пользователей, смена пароля и загрузка/скачивание файлов.
Как вам уже может быть известно, вся клиентская часть сервиса основана на JavaScript, в коде главной страницы прописаны контрольные суммы SHA-256 для всех скриптов и страниц, которые загружаются браузером. Сама загрузка происходит следующим образом: у всех файлов проверяются контрольные суммы, после чего они объединяются в один BLOB, который отдается браузеру. По исходному коду js-файлов видно, что их писали разные люди и порой встречаются забавные перлы, как например последствия копипаста, бессмысленные условия и просто странные переменные.
В процессе изучения исходного кода сайта я также заметил, что он довольно активно обновляется, разработчики исправляют мелкие ошибки и оптимизируют уже написанный код, что не может не радовать. Сам код написан весьма прямолинейно и без излишней накрутки в виде прототипов: сайт обходится тремя сотнями глобальных переменных и более чем 8000 функций. Разбираться в архитектуре сайта и менять его код было весьма просто.
Из сторонних фреймворков MEGA использует jQuery (без него сейчас никуда), Ext JS и SJCL [4]. Последний как раз реализует криптографическое ядро с AES-шифрованием. SJCL также обуславливает интересный формат хранения ключей и прочих байт-массивов: вместо того, чтобы просто гонять байты в обычном массиве, они «сжимаются» в формат, который именуется a32. Его суть в том, что содержимое любого массива байт пакуется в 32-битные числа и записывается в массив меньшей длины. То есть, каждые 4 байта массива преобразуются в один банальный int. В коде сайта есть функции, которые выполняют всевозможные преобразования над импровизированным множеством {a32 array, string, base64 string}.
Прежде, чем перейти к описанию процессов регистрации и аутентификации, стоит рассмотреть информацию, которая подлежит зашифрованию, а именно:
Сейчас я предлагаю разобрать процессы регистрации и аутентификации, посмотреть, как создается мастер-ключ и как производится его зашифрование.
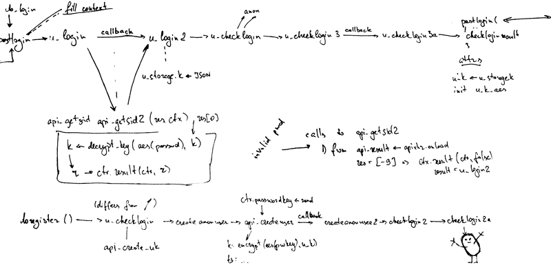
Я тут попытался изобразить на бумажке эти процессы и дабы дать вам понять всю суть безумия, даже сделал вот такую фотку:

Сам по себе процесс регистрации довольно запутанный, после заполнения пользователем анкеты вызывается могучая кучка функций, но нас интересует функция api_createuser:
// создание нового пользователя и его мастер-ключа
function api_createuser(ctx, invitecode, invitename, uh) {
var i;
var ssc = Array(4); // session self challenge, will be used to verify password
var req, res;
if (!ctx.passwordkey) {
ctx.passwordkey = Array(4);
for (i = 4; i--;) ctx.passwordkey[i] = rand(0x100000000);
}
if (!u_k) api_create_u_k(); // генерирование случайного мастер-ключа u_k
for (i = 4; i--;) ssc[i] = rand(0x100000000); // генерирование случайной аутентификационной последовательности
if (d) console.log("api_createuser - masterkey: " + u_k + " passwordkey: " + ctx.passwordkey);
// зашифрование мастер-ключа на текущем пароле и отправка его на сервер (поле k)
// поле ts представляет собой конкатенацию ssc с ее зашифрованным значением
req = {
a: 'up',
k: a32_to_base64(encrypt_key(new sjcl.cipher.aes(ctx.passwordkey), u_k)),
ts: base64urlencode(a32_to_str(ssc) + a32_to_str(encrypt_key(new sjcl.cipher.aes(u_k), ssc)))
};
if (invitecode) {
req.uh = uh;
req.ic = invitecode;
req.name = invitename;
}
if (d) console.log("Storing key: " + req.k);
api_req([req], ctx);
}
В этой функции нас интересуют следующие вещи:
u_k — сам мастер-ключ, глобальная переменная. Массив из 4х 32-битных чисел, который создается функцией api_create_ukssc — просто случайный массив, который зашифровывается на мастер-ключе, конкатенируется со своим открытым значением и отправляется на сервер. Позже он будет использован для проверки корректности мастер-ключа при аутентификацииsjcl — криптографическая библиотека, реализующая AESrand() — местная реализация генератора псевдослучайных чисел, основанная на RC4encrypt_key() — функция-краеугольный камень симметричной криптографии сервиса. Принимает инициализированный ключом объект sjcl и массив, который надо зашифровать. Код функции приведен ниже и, надеюсь, не нуждается в пояснениях.// encrypt/decrypt 4- or 8-element 32-bit integer array
function encrypt_key(cipher, a) {
if (a.length == 4) return cipher.encrypt(a);
var x = [];
for (var i = 0; i < a.length; i += 4)
x = x.concat(cipher.encrypt([a[i], a[i + 1], a[i + 2], a[i + 3]]));
return x;
}
В итоге после регистрации на сервер отправляются:
ssc||encrypt_AES-128(u_k, ssc)Теперь можно плавно перейти к процессу аутентификации. Вкратце оно производится так:
ssc), созданная при регистрацииЗа все вышеописанное отвечает callback-функция api_getsid2:
// расшифрование мастер-ключа после входа пользователя в систему
function api_getsid2(res, ctx) {
var t, k;
var r = false;
if (typeof res == 'object') {
// инициализируем sjcl-aes текущим паролем учетки
var aes = new sjcl.cipher.aes(ctx.passwordkey);
// если нам в ответе сервера пришел мастер-ключ...
if (typeof res[0].k == 'string') {
k = base64_to_a32(res[0].k);
if (k.length == 4) {
// ... то расшифровываем его
k = decrypt_key(aes, k);
// и пере-инициализируем sjcl-aes, используя мастер-ключ
aes = new sjcl.cipher.aes(k);
// если нам пришла ssc из процесса регистрации
if (typeof res[0].tsid == 'string') {
t = base64urldecode(res[0].tsid);
// зашифровываем первую половину строки и сравниваем со значением с сервера
// если они совпали - значит, все явки и пароли сошлись и можно впустить юзера
if (a32_to_str(encrypt_key(aes, str_to_a32(t.substr(0, 16)))) == t.substr(-16)) r = [k, res[0].tsid];
}
// ниже разбирается закрытый ключ RSA-пары, нам это пока не интересно
else if (typeof res[0].csid == 'string') {
var t = mpi2b(base64urldecode(res[0].csid));
var privk = a32_to_str(decrypt_key(aes, base64_to_a32(res[0].privk)));
var rsa_privk = Array(4);
// decompose private key
for (var i = 0; i < 4; i++) {
var l = ((privk.charCodeAt(0) * 256 + privk.charCodeAt(1) + 7) >> 3) + 2;
rsa_privk[i] = mpi2b(privk.substr(0, l));
if (typeof rsa_privk[i] == 'number') break;
privk = privk.substr(l);
}
// check format
if (i == 4 && privk.length < 16) {
// TODO: check remaining padding for added early wrong password detection likelihood
r = [k, base64urlencode(crypto_rsadecrypt(t, rsa_privk).substr(0, 43)), rsa_privk];
}
}
}
}
}
ctx.result(ctx, r);
}
Как бонус к регистрации/аутентификации можно взглянуть на процесс смены пароля.
// смена пароля пользователя
function changepw(currentpw, newpw, ctx) {
var pw_aes = new sjcl.cipher.aes(prepare_key_pw(newpw));
api_req([{
a: 'up',
currk: a32_to_base64(encrypt_key(new sjcl.cipher.aes(prepare_key_pw(currentpw)), u_k)),
k: a32_to_base64(encrypt_key(pw_aes, u_k)),
uh: stringhash(u_attr['email'].toLowerCase(), pw_aes)
}], ctx);
}
Код этой функции говорит сам за себя: мы зашифровываем мастер-ключ на двух ключах, полученных из старого и нового паролей, а затем отправляем эти значения на сервер. Если текущий пароль подошел, то он заменяется на новый. Тут я больше хотел обратить внимание на функцию prepare_key_pw, которая неявно присутствовала во всех предыдущих операциях. Ее задача — преобразовать строковый пароль в a32-массив, а потом выполнить операцию деривации ключа следующим образом:
// convert user-supplied password array
function prepare_key(a) {
var i, j, r;
var aes = [];
var pkey = [0x93C467E3, 0x7DB0C7A4, 0xD1BE3F81, 0x0152CB56];
for (j = 0; j < a.length; j += 4) {
key = [0, 0, 0, 0];
for (i = 0; i < 4; i++)
if (i + j < a.length)
key[i] = a[i + j];
aes.push(new sjcl.cipher.aes(key));
}
for (r = 65536; r--;)
for (j = 0; j < aes.length; j++)
pkey = aes[j].encrypt(pkey);
return pkey;
}
Эта функция вызвала много нареканий, поскольку основана на доморощенном алгоритме. За время написания статьи создатели сервиса успели немного поменять ее код, но существенных изменений я тут не заметил. Ее суть состоит в том, что переданный пароль зашифровывается 65536 раз на константном ключе для того, чтобы получить неотличимый от случайного ключ. Почему создатели сервиса не воспользовались существующими алгоритмами (например, PBKDF2), остается загадкой.
Вкратце весь этот процесс можно представить вот так:
Предупреждаю, долгое вникание в эту картинку опасно для , поэтому ниже я расскажу, как же все это происходит.
Как я уже говорил, при загрузке для каждого файла создается свой случайный ключ-массив из 6ти 32-битных чисел. Первые четыре элемента этого массива используются для зашифрования содержимого файла, а два последних — как начальные значения счетчика, с помощью которого вычисляется контрольная сумма файла. Этот массив хранится в глобальной переменной ul_key. Его же содержимое заносится в JSON-сериализированную строку ul_KeyNonce.
Само за(рас)шифрование происходит с помощью Web Worker (если браузер поддерживает эту технологию) или просто внутри основного кода страницы. Когда файл становится готов к отправке, для зашифрования его атрибутов (на данный момент под атрибутами подразумевается только имя файла) создается новый ключ filekey, основанный на ul_key и контрольной сумме файла. Этот ключ затем зашифровывается на мастер-ключе и отправляется на сервер вместе с атрибутами файла. За все эти действия отвечают функции initupload3 и api_completeupload2. Создание ключа filekey происходит в функции ul_chunkcomplete, ниже я приведу ее часть.
// начало загрузки файла: создание его индивидуального ключа и инициализация механизма шифрования
function initupload3() {
// ... вырезано =)
// создание случайного индивидуального ключа файла
// ul_key используется в коде страницы,
// ul_keyNonce передавается в Web Worker и используется там
// для зашифрования файла и вычисления его контрольной суммы
ul_key = Array(6);
for (i = 6; i--;) ul_key[i] = rand(0x100000000);
ul_keyNonce = JSON.stringify(ul_key);
ul_macs = [];
// ... дальше идет обработка очереди загрузки, она не несет интереса ...
// инициализация sjcl-aes для файла на основе ul_key
ul_aes = new sjcl.cipher.aes([ul_key[0], ul_key[1], ul_key[2], ul_key[3]]);
// ...
// запуск процесса загрузки файла:
// чтение его с диска, зашифрование и отправка
onUploadStart(ul_queue_num);
ul_dispatch_chain();
}
// создание ключа для зашифрования атрибутов файла
function ul_chunkcomplete(slot,pos,response)
{
// ...
var t = [];
// ul_macs - массив с контрольной суммой файла, полученной внутри worker'а
for (p in ul_macs) t.push(p);
// заполнение и сортировка временного массива, если кто знает зачем это - объясните пожалуйста
t.sort(function(a,b) { return parseInt(a)-parseInt(b) });
for (var i = 0; i < t.length; i++)
t[i] = ul_macs[t[i]];
// внутри condenseMacs производится зашифрование
// и "уплотнение" контрольной суммы файла в массив из 4х элементов
var mac = condenseMacs(t,ul_key);
ul_settimeout(-1);
// на основе контрольной суммы и ключа файла создается ключ для шифрования атрибутов
// он же в зашифрованном виде позже будет отправлен на сервер
var filekey = [ul_key[0]^ul_key[4],ul_key[1]^ul_key[5],ul_key[2]^mac[0]^mac[1],ul_key[3]^mac[2]^mac[3],ul_key[4],ul_key[5],mac[0]^mac[1],mac[2]^mac[3]];
// ...
}
// завершение загрузки файла: зашифрование атрибутов и ключа файла и отправка их на сервер
function api_completeupload2(ctx, ut) {
var p;
if (ctx.path && ctx.path != ctx.n && (p = ctx.path.indexOf('/')) > 0) {
var pc = ctx.path.substr(0, p);
ctx.path = ctx.path.substr(p + 1);
fm_requestfolderid(ut, pc, ctx);
} else {
// зашифрование имени файла на ключе, выведенном из ul_key и контрольной суммы
// ctx.k == filekey
a = { n: ctx.n };
if (d) console.log(ctx.k);
var ea = enc_attr(a, ctx.k);
if (d) console.log(ea);
// передача атрибутов и зашифрованного на мастер-ключе ключа файла
var req = {
a: 'p',
t: ut,
n: [{
h: ctx.t,
t: 0,
a: ab_to_base64(ea[0]), // атрибуты
k: a32_to_base64(encrypt_key(u_k_aes, ctx.k)), // == AES_encrypt(u_k, filekey)
fa: ctx.fa
}]
};
if (ut) {
// a target has been supplied: encrypt to all relevant shares
var sn = fm_getsharenodes(ut);
if (sn.length) {
req.cr = crypto_makecr([ctx.k], sn, false);
req.cr[1][0] = ctx.t;
}
}
api_req([req], ctx.ctx);
}
}
Очевидно, что эти процессы должны быть просто обратными к зашифрованию файла. Единственное что может нести интерес — это получение значения ключа ul_key из пришедшего с сервера зашифрованного значения filekey.
На момент скачивания файла в контексте браузера уже содержится объект, хранящий расшифрованные ключи файлов. Поэтому сначала имеет смысл рассмотреть процесс, который происходит сразу после аутентификации пользователя, а именно — загрузку файл-менеджера. После того как пользователя пустили на сервис, ему естественно хочется получить доступ к своим файлам (предположим, что они у него уже там были). Для этого нам нужно расшифровать сначала ключи файлов, а затем — их атрибуты. Этим делом занимается очередная пачка функций, из которых нас интересуют loadfm_callback и process_f_f.
Вкратце процесс получения атрибутов файлов можно описать следующим алгоритмом:
loadfm_callback), где получить JSON с описанием всех загруженных файловfarray, в который положить массив с информацией о файлахprocess_f_fcrypto_processkey) и сохранить их обратно в массив с информацией о файлахFileStore (окончание рекурсии в process_f_f)Ниже я приведу выдержки из кода, иллюстрирующие этот алгоритм
// callback загрузки файл-менеджера
function loadfm_callback(json, res) {
// ...
// обработка JSON с информацией о файлах
json = json[0];
if (d) console.log(json);
if (d) console.log(json);
if (json.u) process_u(json.u, false);
if (json.ok) process_ok(json.ok);
if (json.s) {
for (i in json.s) {
if (u_sharekeys[json.s[i].h]) {
sharingData.push({
id: json.s[i].h + '_' + json.s[i].u,
userid: json.s[i].u,
folderid: json.s[i].h,
rights: json.s[i].r,
date: json.s[i].ts
});
sharednodes[json.s[i].h] = true;
}
}
}
// ... дальше ничего особого...
// занесение информации о файлах в еще один глобальный массив
farray[fi] = new Object;
farray[fi].f = json.f;
// запуск его обработки, callback был объявлен выше
// в этой функции и просто модифицирует верстку
process_f(fi, false, callback);
fi++;
}
// рекурсивная функция, в которой происходит расшифрование ключей и атрибутов файлов
// вызывается из process_f
function process_f_f(fid) {
// условие окончания рекурсии - мы обработали все файлы в массиве farray
if (!farray[fid].f[farray[fid].i]) {
if (farray[fid].ap) FileStore.suspendEvents();
// запись данных в FileStore
FileStore.loadData(farray[fid].mdata, true);
if (farray[fid].ap) FileStore.resumeEvents();
if (d) console.log('call reqmissingkeys:');
crypto_reqmissingkeys();
if (farray[fid].callback) farray[fid].callback.fn(farray[fid].callback);
return false;
}
var f = farray[fid].f[farray[fid].i];
f.attrs = f.a;
if (f.sk) u_sharekeys[f.h] = crypto_process_sharekey(f.h, f.sk);
// если файл подходит по типу и имеет ключ, то обработаем его
if ((f.t !== 2) && (f.t !== 3) && (f.t !== 4) && (f.k)) {
crypto_processkey(u_handle, u_k_aes, f); // описание этой функции ниже
u_nodekeys[f.h] = f.key;
if ((typeof f.name !== 'undefined') && (f.p == InboxID)) InboxCount++;
} else {
if (f.a) {
if (!missingkeys[f.h]) {
missingkeys[f.h] = true;
newmissingkeys = true;
}
}
f.k = '';
f.name = '';
}
if (f.t == 2) RootID = f.h;
else if (f.t == 3) InboxID = f.h;
else if (f.t == 4) TrashbinID = f.h;
else if ((f.t < 2) || (f.t == 5)) {
// тут идет обработка расшаренных файлов
} else {
// подготовка массива для записи в FileStore
farray[fid].mdata.push({
id: f.h.replace(/[^a-z^A-Z^0-9^_^-]/g, ""),
name: f.name,
size: f.s,
type: filetype(f.name, f.t),
icon: fileicon(f.name, icontype),
parentid: f.p,
folder: f.t,
owner: f.u,
date: f.ts,
attrs: f.attrs,
key: f.key,
r: f.r,
su: f.su,
fa: f.fa,
});
if (f.p == TrashbinID) trashbinfull = true;
if (((f.t) && (farray[fid].ap)) || (f.p == InboxID)) refreshtree = true;
}
farray[fid].i++;
// проверка таймаута (видимо, чтобы загрузка файл-менеджера не выглядела слишком долгой)
timeoutcount++;
if (!(timeoutcount & 63)) {
// если у нас больше 63 файлов - дальше грузим их асинхронно
setTimeout("process_f_f(" + fid + ")", 1);
timeoutcount2++;
}
// иначе - запускаем обработку следующего файла
else process_f_f(fid);
}
// обработка ключа файла и его атрибутов
function crypto_processkey(me, master_aes, file) {
var id, key, k, n;
if (!file.k) {
if (!keycache[file.h]) return;
file.k = keycache[file.h];
}
id = me;
// do I own the file? (user key is guaranteed to be first in .k)
// ключ записан в виде "<file handle>:<key>/<share key>"
var p = file.k.indexOf(id + ':');
// сначала проверим, не является ли файл общим
if (p) {
// I don't - do I have a suitable sharekey?
for (id in u_sharekeys) {
p = file.k.indexOf(id + ':');
if (p >= 0 && (!p || file.k.charAt(p - 1) == '/')) break;
p = -1;
}
}
// а затем уже можем перейти к расшифрованию
if (p >= 0) {
delete keycache[file.h];
// слеш - видимо признак шары
var pp = file.k.indexOf('/', p);
if (pp < 0) pp = file.k.length;
p += id.length + 1;
key = file.k.substr(p, pp - p);
// we have found a suitable key: decrypt!
if (key.length < 46) {
// short keys: AES
k = base64_to_a32(key);
// check for permitted key lengths (4 == folder, 8 == file)
if (k.length == 4 || k.length == 8) {
// ключ расшифровывается либо на мастер-ключе, либо на общем ключе шары
k = decrypt_key(id == me ? master_aes : new sjcl.cipher.aes(u_sharekeys[id]), k);
} else {
if (d) console.log("Received invalid key length (" + k.length + "): " + file.h);
return;
}
} else {
// long keys: RSA
if (u_privk) {
var t = mpi2b(base64urldecode(key));
if (t) k = str_to_a32(crypto_rsadecrypt(t, u_privk).substr(0, file.t ? 16 : 32));
else {
if (d) console.log("Corrupt key for node " + file.h);
return;
}
} else {
if (d) console.log("Received RSA key, but have no public key published: " + file.h);
return;
}
}
// декодируем атрибуты файла
var ab = base64_to_ab(file.a);
// и расшифровываем их с помощью только что полученного ключа
var o = dec_attr(ab, k);
if (typeof o == 'object') {
if (typeof o.n == 'string') {
if (file.h) {
u_nodekeys[file.h] = k;
if (key.length >= 46) rsa2aes[file.h] = a32_to_str(encrypt_key(u_k_aes, k));
}
// если мы корректно расшифровали ключ и атрибуты - сохраняем их в объект файла
file.key = k;
file.name = o.n;
}
}
} else {
if (d) console.log("Received no suitable key: " + file.h);
if (!missingkeys[file.h]) {
newmissingkeys = true;
missingkeys[file.h] = true;
}
keycache[file.h] = file.k;
}
}
После этого мы можем получить значение исходного ключа ul_key из контекста браузера следующим образом:
dl_keyNonce = JSON.stringify([dl_key[0]^dl_key[4],dl_key[1]^dl_key[5],dl_key[2]^dl_key[6],dl_key[3]^dl_key[7],dl_key[4],dl_key[5]]);
Это преобразование происходит в функции startdownload. Если учесть, что значение dl_key == filekey из функции ul_chunkcomplete и выполнить нехитрые операции сложения по модулю, то мы заметим, что в переменной dl_keyNonce будет хранится значение ul_key, сгенерированное при загрузке файла. Иллюстрацию этому можно наблюдать в нижнем левом углу доски на фотографии в начале раздела про загрузку файлов.
Несмотря на то, что вышеописанные принципы защиты файлов и ключей являются весьма безопасными, кому-то может не понравиться, что мы все равно зависим от реализации алгоритмов, которые предоставляет сервис. В этом случае мы можем разработать свое расширение для браузера, которое будет переопределять некоторые функции сервиса, реализуя в них дополнительное шифрование. А именно, я решил реализовать защиту ключевой информации (мастер-ключа и ключей файлов) с помощью аппаратного шифрования на неизвлекаемом ключе по алгоритму ГОСТ 28147-89. Бонусом к этому также будет и включение на сервисе двухфакторной аутентификации.
Итак, рассмотрим такой use-case:
После этого будет невозможно получить значение мастер-ключа не обладая токеном и его PIN-кодом. Это даст:
api_getsid2)
Следующим шагом будет зашифрование с помощью токена ключа шифрования файла (он же ul_key) и ключа атрибутов файла (filekey), который как раз хранится на сервере. Таким образом, мы получим, что каждый файл будут зашифрован на ключе, который никогда не попадет на сервер, куда уйдет зашифрованный нами filekey из функции api_completeupload2. Атрибуты файлов будут зашифрованы на открытом значении filekey. Для пущей наглядности я набросал следующую схему, иллюстрирующую процесс загрузки файла:
Хочу отметить, что здесь я применил весьма хитрый метод. В данном случае нам важно, чтобы злоумышленник не мог расшифровать файл, даже если он перехватит пришедший с сервера ключ файла и будет знать мастер-ключ пользователя. Поэтому тут можно сыграть на особенностях архитектуры сервиса и использовать для за(рас)шифрования файлов значение ключа ul_keyNonce (оно же dl_keyNonce), полученное в результате зашифрования на токене значения ключа ul_key (или dl_key).
Для реализации аппаратного шифрования будет использоваться USB-токен Рутокен ЭЦП (также подойдет Рутокен Web) совместно с плагином для браузера «Рутокен Web PKI Edition». Подробное описание плагина мы уже приводили в статьях Рутокен WEB PKI Edition [6] и Щит и меч в системах ДБО. Прикладное решение [7].
С момента написания этих статей в наш продукт добавилась возможность аппаратного шифрования по алгоритму ГОСТ 28147-89. Beta-версию плагина с функциональностью аппаратного шифрования по алгоритму ГОСТ 28147-89 можно скачать здесь [8]. Эта версия плагина еще не прошла полное тестирование, поэтому предупреждаю о том, что в ней могут быть ошибки, о нахождении которых прошу сообщать в личку.
В интерфейсе плагина симметричное зашифрование реализуется функцией encrypt, которая имеет следующий синтаксис:
encrypt(deviceId, keyLabel, data, resultCallback, errorCallback) → {string}
В качестве входных данных функция принимает:
numbernumber (если такого ключа нет, он будет сгенерирован)string (строка, содержащая в себе байт-массив вида "aa:bb:cc:dd")
Расшифрование производится аналогично с помощью функции decrypt
Отдельное внимание стоит уделить метке ключа, поскольку она определяет, на каком ключе будет производится за(рас)шифрование данных. Метка представляет собой произвольную строку и в основном служит для удобной идентификации ключа. В данном случае я использую две ключевых пары: одну для за(рас)шифрования мастер-ключа, вторую — для зашифрования индивидуальных ключей файлов. Ключ, на котором зашифровывается мастер-ключ имеет метку, равную паролю пользователя (сейчас мне пришла в голову идея использовать хеш от строки e-mail||пароль, в ближайшее время я это исправлю). Для зашифрования ключей загружаемых файлов используется ключ с меткой, равной строковому представлению мастер-ключа (здесь также стоит использовать хеш от мастер-ключа).
Сразу хочу сделать замечание по поводу моего исходного кода: он, по сути, находится в альфа-версии, хотя и реализует описанную выше функциональность. Я не проверял, насколько моя переделка получилась совместимой с остальными функциями сервиса, поэтому все исходники я выложил на github [9] и буду рад любой помощи по доработке этой системы. Поэтому я не буду засорять статью дальше огромными листингами, а лишь опишу общую схему работы расширения.
Готовое расширение можно скачать здесь [10]. Разработано оно с помощью сервиса Crossrider [11], что дает расширения для трех браузеров (Chrome, Firefox и IE), но проверять его работу лучше в Chrome или Firefox, причем в первом оно работает гораздо стабильнее.
Код расширения до банального прост: он проверяет, находимся ли мы на странице сервиса и если это так, то просто подгружает дополнительные скрипты. Эти скрипты модифицируют код страницы, добавляя пару диалогов, и переопределяют следующие функции сервиса:
changepw: отвечает за смену пароляapi_getsid2: один из callback'ов логинаapi_completeupload2: callback завершения загрузки файлаloadfm_callback: callback загрузки файл-менеджераprocesspacket: очередной callback, в котором расшифровываются атрибуты только что загруженного файлаparsepage: отвечает за рисование дополнительных диалоговdologin: расширяет возможности аутентификацииinitupload3: отвечает за создание ключа шифрования файлаstartdownload: обратный разбор ключа файла и инициализация скачиванияЕще раз хочу предупредить, что не стоит тащить расширение на рабочий аккаунт (если тут кто-нибудь вообще пользуется этим сервисом), а лучше завести тестовый. Для того, чтобы воспользоваться расширением после его установки вам будет нужно:
Вместо расширения можно воспользоваться следующим букмарклетом (проверено в Chrome, Safari, Firefox):
javascript:(function(){if(document.getElementById('cryptorutokenjs')){alert('Плагин уже установлен');return}function loadRemoteScript(url){var script=document.createElement('script');script.type="text/javascript";script.src=url;document.head.appendChild(script)}function loadRemoteStyle(url){var style=document.createElement('link');style.rel='stylesheet';style.type="text/css";style.href=url;document.head.appendChild(style)}loadRemoteStyle("https://mega-crypto.googlecode.com/git/mega.css");loadRemoteScript("https://mega-crypto.googlecode.com/git/util.js");loadRemoteScript("https://mega-crypto.googlecode.com/git/rutoken-extra.js");loadRemoteScript("https://mega-crypto.googlecode.com/git/rutoken-crypto.js");loadRemoteScript("https://mega-crypto.googlecode.com/git/mega.js")})();
Для начала подключим наше творение к сайту. Для этого:
Затем можно выйти из сервиса и попробовать снова зайти, используя двухфакторную аутентификацию:
Аутентификация при этом происходит по следующей схеме:
Здесь мне так и хочется написать «продолжение следует...», поскольку я не осветил детали создания расширения и интересности прикручивания асинхронных функций шифрования в сервис, который в большинстве случаев использует синхронные вызовы. В заключении этой статьи я хотел бы еще раз обратиться к идее реализации client-side криптографии.
Подход к реализации дополнительных криптографических функций на стороне клиента может быть применен к любому веб-сервису, которому не важно, что хранить у себя на сервере: будь то файловое хранилище, почта или простейший чат. Например, можно реализовать защищенную почту на базе любого почтового сервиса с использованием шифрования сообщений в формате CMS и механизмов обмена ключами по алгоритму VKO GOST R 34.10-2001.
Спасибо за внимание, жду ваших вопросов и комментариев.
PS: первым пяти желающим потестировать плагин мы можем подарить по токену — пишите в личку.
Автор: lunatik42
Источник [12]
Сайт-источник PVSM.RU: https://www.pvsm.ru
Путь до страницы источника: https://www.pvsm.ru/javascript/32158
Ссылки в тексте:
[1] Image: http://instacod.es/70276
[2] Image: http://instacod.es/67689
[3] Image: http://instacod.es/70307
[4] SJCL: http://crypto.stanford.edu/sjcl/
[5] мозга: http://www.braintools.ru
[6] Рутокен WEB PKI Edition: http://habrahabr.ru/company/aktiv-company/blog/155835/
[7] Щит и меч в системах ДБО. Прикладное решение: http://habrahabr.ru/company/aktiv-company/blog/165887/
[8] здесь: https://mega-crypto.googlecode.com/files/CryptoPlugin.zip
[9] выложил на github: https://github.com/romanovskiy-k/mega-crypto
[10] здесь: http://crossrider.com/download/30754
[11] Crossrider: http://crossrider.com/
[12] Источник: http://habrahabr.ru/post/176513/
Нажмите здесь для печати.