- PVSM.RU - https://www.pvsm.ru -

Порой незначительные, на первый взгляд, детали имеют невероятное влияние на общую картину. Этот принцип применим ко многим сферам нашей жизни: таинственная улыбка Моны Лизы, породившая уйму теорий и спекуляций; одна строка кода, способная напрочь изменить функционал программы; порядок расположения атомов, меняющий свойства вещества. О последнем мы сегодня и поговорим. Ученые из университета города Цукуба (Япония) выдвинули теорию, согласно которой можно создать новую структуру алмаза, которая будет прочнее всем известного минерала. Ученые назвали свое творение «пентаалмаз». Что нужно для создания пентаалмаза, какими свойствами он может обладать и где можно применять столь прочное вещество? Ответы на эти вопросы мы найдем в докладе ученых. Поехали.
Углерод — вездесущий элемент периодической таблицы, являющийся основой для великого множества органических и неорганических соединений. В природе углерод можно встретить практически везде: нефть и торф, метан и углекислый газ, мышцы и кости и т.д. и т.п. Одним словом, углерод не зря считают одним из основных строительных блоков жизни на Земле.
Некоторые вещества или химические элементы могут существовать в разной форме при разных условиях. Это называют аллотропией. Углерод рекордсмен в этом деле, ибо у него имеется более 9 аллотропических модификаций.
Причинами наличия столь большого числа аллотропов углерода являются орбитальная гибридизация, граничные условия и топологические дефекты. Три формы орбитальной гибридизации (sp, sp2 и sp3) представляют аллотропы, охватывающие все измерения:
Кроме того, граничные условия и топологические дефекты позволяют углероду формировать дополнительные аллотропы с уникальной морфологией: например, фуллерен и углеродные нанотрубки, которые обладают необычными электронными и структурными свойствами.

Разнообразие фуллеренов.
Углеродные аллотропы, состоящие из sp2 и sp3 атомов С, привлекают внимание исследователей из-за их морфологического разнообразия, которое обусловлено огромным количеством комбинаций sp2 и sp3 атомов внутри одной системы. Примером тому могут послужить обработанные высоким давлением и температурой фуллерены (например, C60), которые могут обладать низкой массовой плотностью из-за ковалентных связей между фуллеренами и наноразмерными порами.
Помимо этого есть исследования, в которых описывается быстрое гашение аморфного углерода, что приводит к формированию гибридного аллотропа sp2-sp3 — Q-углерода, обладающего магнетизмом и твердостью, превосходящую алмаз.
Углерод можно грубо назвать пластилином в руках ученых, ибо из него можно создать очень много различных по свойствам и функционалу веществ, было бы желание и фантазия.
В данном труде ученые представили теоретическое исследование трехмерного углеродного аллотропа, состоящий из атомов C sp2 и sp3 (пентаалмаз). Получить его можно посредством сополимеризации углеводородных молекул, содержащих пентагональные кольца (спиро[2.4]гептан-4.6-диен (C7H8) и [5.5.5.5]-фенестран-тетраин).
Пентаалмаз состоит из пятиугольных колец с пространственной группой Fm¯3m вследствие сополимеризации этих составляющих молекул. Расчеты показали, что у пентаалмаза высокий объемный модуль* — 381 ГПа, что составляет примерно 80% от алмазного. Это говорит о том, что пентаалмаз является твердым углеродным аллотропом.
Кроме того, он имеет отрицательный коэффициент Пуассона* (-0.241), что приводит к чрезвычайно высоким модулю Юнга* (1691 ГПа) и модулю сдвига* (1113 ГПа), а это выше, чем у алмаза или других сверхпрочных углеродов.
Объемный модуль упругости* — характеристика способности вещества сопротивляться всестороннему сжатию.
Коэффициент Пуассона* — отношение относительного поперечного сжатия к относительному продольному растяжению.
Модуль Юнга* (модуль упругости) — оценка способности материала сопротивляться растяжению, сжатию при упругой деформации.
Модуль сдвига* — оценка способности материала сопротивляться сдвиговой деформации.
Пентаалмаз представляет собой полупроводник с непрямой запрещенной зоной* в 2.25 эВ, который, как ожидается, будет обладать высокой подвижностью дырок*.
Запрещенная зона* — область значений энергии, которыми не может обладать электрон в идеальном кристалле.
Дырка* — носитель положительного заряда в полупроводниках.
Все расчеты проводились на основе теории функционала плотности, реализованной в программном комплексе STATE (STF-ElectronMo).

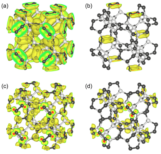
Изображение №1
На схемах выше показана оптимизированная геометрия пятиугольника с параметром решетки 9.195 Å и пространственной группой Fm¯3m. Ковалентная сеть состоит исключительно из пятиугольников, в которых три из пяти ребер разделены соседними пятиугольниками (1а), вследствие сополимеризации C7H8 и [5.5.5.5]-фенестран-тетраина, которые поочередно располагаются в вершинах кубической решетки (1b).
Согласно этим составляющим молекулам и их расположению, элементарная ячейка петаалмаза содержит 22 атома углерода: 10 являются атомами sp3 и 12 — атомами sp2. Кроме того, операторы симметрии, принадлежащие группе Fm¯3m, сокращают число независимых атомных областей до трех.
Поскольку сеть состоит из атомов углерода sp2 (с тройной координацией) и sp3 (с четырехкратной координацией), ковалентные связи классифицируются на две группы. Рассчитанные длины связей, относящиеся к атомам sp3, составляют 1.563 Å для C1-C1 связей и 1.520 Å для C2-C3. А вот длина связи (C3-C3) для атомов sp2 составляет 1.349 Å, что подтверждает наличие именно двойной связи у атомов sp2.
Как показано на 1а, пентаалмаз обладает большими кубическими «порами» с ребрами 3.664 Å, окруженными пятиугольной ковалентной сеткой. Следовательно, он имеет низкую массовую плотность с плотностью 2.26 г/см3, как у графита, но на 36% меньше, чем у алмаза.
Относительная полная энергия пентаалмаза равна 275 мэВ/атом, что соответствует классическому алмазу. Но общая энергия выше, чем у алмаза, графита и других твердых углеродных материалов, хоть и ниже, чем у C60, который, как известно, является метастабильным углеродным аллотропом нульмерного пространство. Умеренная полная энергия объясняется структурным искажением углов связи для атомов sp2 и sp3.
Касательно атомов sp3: несмотря на то, что атом C1 имеет почти идеальную sp3 гибридизацию с углом связи θ212 = 109.4°, С2 атом имеет углы связи θ212 = 115.9° и θ323 = 101.9°, которые шире и уже, чем соответствующие углы связи идеального sp3. Касательно атомов sp2: из-за пятиугольной сети угол связи, относящийся к C3, равен θ232 = 133.4° и θ233 = 113.3°, что также больше и меньше соответствующих углов связи идеального sp2.
Умеренная энергия также увеличивает энергию образования (ΔE) пентаалмаза при прямой сополимеризации C7H8 и [5.5.5.5]-фенестран-тетраина:
спирононадиен + фенестратетраен = пентаалмаз + 12H2 + ΔE
Расчетная энергия образования составляет 0.31 эВ/атом, отражая затраты энергии на формирование ковалентной сети sp2 и sp3 атомов углерода с искаженными углами связи.
Таким образом, ожидается, что пентаалмаз будет синтезирован с использованием реакции Ульмана на бромоспиро[4.4] нона-2.7-диене и бром[5.5.5.5]-фенестратетраене вместо их первичной формы.
Далее было проведено исследование термостабильности пентаалмаза посредством моделирования молекулярной динамики при температуре 4000 К. Дабы понять, какие могут возникать структурные изменения, расчеты молекулярной динамики выполнялись с постоянной температурой для расширенной атомной клетки (88 атомов углерода) в течение 12 пс (пикосекунд, 1 пс = 10−12 с) и для упрощенной (1х1х1) в течение 146 пс.

Изображение №2
По результатам моделирования спустя 14 пс при 4000 К пентаалмаз полностью сохраняет свою первоначальную топологию как в случае сложной, так и упрощенной атомной клетки (график выше).
Следовательно, пентаалмаз является термически и энергетически стабильным, если его синтезировать с использованием соответствующих схем, предложенных в данном труде.

Сравнение свойств пентаалмаза и других углеродных аллотропов.
Механические свойства пентаалмаза были изучены посредством упругих постоянных cij, которые определяются путем оценки конечной разности полной энергии по отношению к деформациям. Рассчитанные значения упругих постоянных составили: 1715.3 ГПа для с11 (= с22 = с33); −283.5 ГПа для с12 (= с13 = с23) и 1187.5 ГПа для с44 (= с55 = c66).
Стоит также отметить, что данные показатели полностью удовлетворяют критерий устойчивости Борна (с11 — с12 > 0, с11 + 2с12 > 0 и с44 > 0), что дополнительно свидетельствует о стабильности пентаалмаза.
В случае кубической симметрии объемный модуль упругости рассчитывается по формуле: В = (с11 + 2с12)/3. В результате В был равен 381 ГПа, что составляет более 80% от соответствующего показателя у алмаза. Это говорит о том, что пентаалмаз является потенциальным кандидатом в твердые углеродные аллотропы, хотя его плотность достаточно низкая (как у графита).
Для дальнейшего исследования механических свойств был рассчитан модуль Юнга пентаалмаз по формуле:

где θ и ϕ — углы Эйлера*, sij — упругая податливость, определяемая за счет cij с соотношениями между s11 = [c11 + c12]/[(c11 — c12)(c11 + 2c12)], s12 = [-c12]/[(c11 — c12)(c11 + 2c12)] и s44 = 1/c44.
Углы Эйлера* — углы, описывающие поворот абсолютно твердого тела в трехмерном пространстве.

Изображение №3
Модуль Юнга у пентаалмаза чрезвычайно высок и превышает 1.5 ТПа для всех направлений (3а). Зная модуль Юнга и объемный модуль упругости, можно рассчитать модуль сдвига (3b), который также оказался достаточно высок (1 ТПа) для всех направлений.
Следовательно, пентаалмаз может проявлять чрезвычайную жесткость относительно анизотропных структурных деформаций. Особого внимания требует и тот факт, что, модули Юнга и модуль сдвига выше, чем у других твердых и сверхтвердых углеродных аллотропов (таблица выше).
Столь высокие значения вышеописанных модулей говорят о том, что у пентаалмаза должен быть отрицательный коэффициент Пуассона. Это утверждение было подтверждено расчетами, показавшими коэффициент Пуассона в диапазоне от -0.20 до -0.28 в зависимости от направлений решетки (3с). Такие уникальные показатели приводят к тому, что в пентаалмазе скорость звука также будет достаточно велика (28700 м/с против 12000-18350 м/с у обычного алмаза).

Изображение №4
График выше показывает электронную структуру и плотность состояний пентаалмаза, который представляет собой полупроводник с непрямой запрещенной зоной 2.52 эВ. Валентная зона и зона проводимости расположены в точках L и X соответственно. Самая высокая ветвь валентной зоны и самая низкая ветвь зоны проводимости имеют существенную дисперсию (1 эВ или более).
Потому ожидается, что пентаалмаз будет иметь малые эффективные массы по краям зон: расчетные массы электронов в точке X составляют 0.98 и 0.67 (меньше, чем у алмаза) вдоль направлений к точкам Γ и W соответственно. А вот касательно края валентной зоны ситуация противоположная: рассчитанные массы дырок в точке L составляют 1.59 и 0.76 (больше, чем у алмаза) вдоль направлений к точкам W и Γ соответственно.
Умеренная масса носителей и большая плотность состояний на краях зон предполагают, что пентаалмаз может обладать умеренной подвижностью носителей как для электрона, так и для дырки. Дисперсионное соотношение, а также плотность состояния показывают, что пентаалмаз обладает трехмерной объемной электронной структурой, как у алмаза, что отражает его трехмерную ковалентную сеть с высокой симметрией.

Изображение №5
Для лучшего понимания электронной структуры пентаалмаза ученые провели исследование волновой функции самой высокой ветви и самой нижней ветви пентаалмаза в определенных точках симметрии.
Волновые функции высшей ветви валентной зоны в точках L и Γ распределены по атомам C3, имеющими характер π-связи, вследствие их sp2-гибридизации. Волновая функция нижней ветви зоны проводимости в точках Γ и X также распределена по атомам C3 с антисвязывающей π-природой. Ученые отмечают, что и валентное состояние, и состояние проводимости являются не чистым π-состоянием, а гибридизированными состояниями, содержащими небольшое количество σ-компонента. Это значит, что электронные состояния вблизи и вокруг краев зон рассматриваются как π-электронные состояния димеров sp2C, которые отдалены примерно на 2.6 Å от его восьми смежных областей.
Для более подробного ознакомления с нюансами исследования рекомендую заглянуть в доклад ученых [1].
В данном исследовании ученые высказали теорию о том, что вполне возможно создать углеродную структуру, свойства которой будут лучше, чем у алмаза. Расчеты, выполненные в ходе исследования, подтвердили эту догадку.
Посредством сополимеризация спиро[2.4]гептан-4.6-диена (C7H8) и [5.5.5.5]-фенестран-тетраина с симметрией Fm¯3m можно синтезировать трехмерную ковалентную пятиугольную сеть атомов углерода sp2 и sp3. Свое творение ученые назвали пентаалмазом.
Большинство механических свойств пентаалмаза превосходят соответствующие у известного нам обычного алмаза или у других твердых аллотропов углерода. Любопытно, что пентаалмаз тверже, чем алмаз, но его плотность схожа с плотностью графита.
В будущем ученые намерены перевести теорию в практику. Но даже сейчас их труд явно демонстрирует, что возможности современной науки воистину безграничны, если, конечно, уделять должное внимание деталям, помнить про все нюансы законов природы и не бояться экспериментировать.
Документальный фильм BBC о том, как создаются искусственные алмазы. (качество видео не самое лучшее, но от того оно не менее интересное)
Кому могла прийти в голову идея, что из угля, льда и орехового масла можно сделать алмазы? Печально, что такая идея требуют реального опровержения, т.е. в них кто-то верит…
Благодарю за внимание, оставайтесь любопытствующими и отличных всем выходных, ребята! :)
Спасибо, что остаётесь с нами. Вам нравятся наши статьи? Хотите видеть больше интересных материалов? Поддержите нас, оформив заказ или порекомендовав знакомым, облачные VPS для разработчиков от $4.99 [2], уникальный аналог entry-level серверов, который был придуман нами для Вас: Вся правда о VPS (KVM) E5-2697 v3 (6 Cores) 10GB DDR4 480GB SSD 1Gbps от $19 или как правильно делить сервер? [3] (доступны варианты с RAID1 и RAID10, до 24 ядер и до 40GB DDR4).
Dell R730xd в 2 раза дешевле в дата-центре Equinix Tier IV в Амстердаме? Только у нас 2 х Intel TetraDeca-Core Xeon 2x E5-2697v3 2.6GHz 14C 64GB DDR4 4x960GB SSD 1Gbps 100 ТВ от $199 [4] в Нидерландах! Dell R420 — 2x E5-2430 2.2Ghz 6C 128GB DDR3 2x960GB SSD 1Gbps 100TB — от $99! Читайте о том Как построить инфраструктуру корп. класса c применением серверов Dell R730xd Е5-2650 v4 стоимостью 9000 евро за копейки? [5]
Автор: Dmytro_Kikot
Источник [6]
Сайт-источник PVSM.RU: https://www.pvsm.ru
Путь до страницы источника: https://www.pvsm.ru/himiya/354858
Ссылки в тексте:
[1] доклад ученых: https://sci-hub.tw/https://journals.aps.org/prl/abstract/10.1103/PhysRevLett.125.016001
[2] облачные VPS для разработчиков от $4.99: https://ua-hosting.company/cloudvps/nl
[3] Вся правда о VPS (KVM) E5-2697 v3 (6 Cores) 10GB DDR4 480GB SSD 1Gbps от $19 или как правильно делить сервер?: https://habr.com/company/ua-hosting/blog/347386/
[4] 2 х Intel TetraDeca-Core Xeon 2x E5-2697v3 2.6GHz 14C 64GB DDR4 4x960GB SSD 1Gbps 100 ТВ от $199: https://ua-hosting.company/serversnl
[5] Как построить инфраструктуру корп. класса c применением серверов Dell R730xd Е5-2650 v4 стоимостью 9000 евро за копейки?: https://habr.com/company/ua-hosting/blog/329618/
[6] Источник: https://habr.com/ru/post/510242/?utm_source=habrahabr&utm_medium=rss&utm_campaign=510242
Нажмите здесь для печати.