- PVSM.RU - https://www.pvsm.ru -

Некоторые идеи ярко зарождаются и быстро умирают ввиду сложности, дороговизны или даже ненужности реализации. Акулы-убийцы с лазерными установками на голове — звучит очень круто, очень сложно и невероятно нелепо. Однако некоторые идеи в своей реализации обещают если не «золотые горы», то как минимум горшочек золота. Это касается и квантовых компьютеров, которые обещают быть супер мощными, супер быстрыми и очень энергоэффективными. Звучит заманчиво, не так ли? Вот и многие ученые думают так же. Реализация квантовых вычислений требует решения многих проблем. И сегодня мы с вами будем знакомиться с исследованием, в котором ученые решили улучшить показатели скорости посредством создания так называемого кубитового гибрида. Что это такое, из чего оно состоит и как работает мы узнаем из доклада исследовательской группы. Поехали.
Основа исследования
Дабы всем было понятнее, ученые в первую очередь подчеркивают несколько аспектов, предшествующих их исследованию. Во-первых, это односпиновые кубиты в полупроводниковых квантовых точках, которые могут обеспечить невероятный уровень точности квантовых однокубитовых вентилей вплоть до 99,99%. Во-вторых, это двухкубитовые вентили с большим временем когерентности.
Квантовый вентиль* — логический элемент, который преобразовывает входное состояние кубита в выходное по определенному закону.
Проблема заключается в том, что процесс инициализации и фактического считывания кубитов протекает на порядок медленнее, чем процесс контроля. А это крайне негативно влияет на реализацию протоколов, основанных на измерениях. К таким можно отнести коррекцию ошибок.
А вот это уже звучит удручающе, но не для наших исследователей. Они отмечают, что синглет-триплетный кубит, встроенный в двухспиновое подпространство, может обладать как высокой точностью, так и высокой скоростью. Именно эти элементы и являются основой гибридной системы, посредством которой ученые смогли реализовать квантовый вентиль контролируемой фазы со скоростью в 5.5 наносекунд, что в разы быстрее времени дефазировки.
Дефазировка* — механизм извлечения классических черт из квантовых систем. Относится к процессу затухания когерентности квантовой системы.
Основными, так сказать, деталями гибридной системы (CPHASE) являются два типа кубитов, каждый из которых обладает своими преимуществами и недостатками: кубиты Лосса-ДиВинсензо (далее LD) и синглет-триплетные кубиты (далее ST).
В LD кубитах двухкубитовый квантовый вентиль достаточно быстр, поскольку концентрируется на обменных процессах между соседствующими спинами. А вот ST кубиты значительно медленнее, поскольку ограничены слабой дипольной связью.
В процессах инициализации и считывания ситуация кардинально меняется. LD кубиты становятся медленнее из-за спин-селективного туннелирования. А ST становятся в разы быстрее из-за принципа Паули.
Таким образом мы имеем два типа кубитов, которые отлично себя показывают в определенных процессах. Если объединить их преимущество в одну гибридную систему, то можно получиться более быстрые и более точные квантовые вычисления. А для этого необходимо создать связующий интерфейс между ними, чем ученые и занимались в своем исследовании. Давайте же узнаем насколько успешен был их труд.
Результаты исследования

Изображение №1
На изображении 1а мы видим как LD и ST кубиты были имплементированы в тройную квантовую точку (TQD). LD кубит формируется в левой точке, а ST размещается в двух других.
Для достижения когерентного и резонансного контроля над LD кубитом ученые добавили рядом с TQD микромагнит. Это было осуществлено посредством электрического дипольного спинового резонанса (EDSR) — метода контроля магнитных моментов в системе посредством квантово-механических эффектов, таких как спин-орбитальное взаимодействие.
Также это позволило увеличить разницу зеемановской энергии между центральной и правой точками в сравнении с их обменным взаимодействием.
Энергия Зеемана* — внешняя потенциальная энергия спинов в магнитном поле.
Таким образом собственное состояние ST кубита в этих точках становится |↑↓⟩ и |↓↑⟩, вместо синглетного |S⟩ и триплетного |T⟩. Далее было применено внешнее магнитное поле в 3.166 Тл (Тесла), что позволило разделить состояния LD кубита по зеемановской энергии и отделить поляризованные триплетные состояния |↑↓⟩ и |↓↑⟩ ST кубита от вычислительных состояний.

Схема рефрижератора растворения (Источник [1] для желающих детальнее ознакомится с принципами работы данного устройства).
Сам же эксперимент проводился в специальном рефрижераторе растворения при температуре в 120 мК (милликельвин). Манипуляции с кубитами проходили при зарядовом состоянии (1,1,1), инициализация при (1,0,1), а считывание при (1,0,2).
(N, N, N)* — число электронов внутри каждой из точек (левой, центральной и правой).
Для калибровки процессов инициализации, контроля и считывания были проведены измерения изменений времени когерентности для каждого кубита. Дабы снизить межкубитовое обменное взаимодействие ученые разительно изменили уровень энергии зарядовых состояний (1,1,1) и (2,0,1).
При наблюдении за LD кубитом была выявлена осцилляция Раби с частотой в 10 МГц (1d) как функция времени микроволнового импульса (1е). У ST кубита же наблюдалась прецессия между |↑↓⟩ и |↓↑⟩ (1f).
На изображении 1с проиллюстрирован процесс связывания двух кубитов между собой посредством обменного взаимодействия между левой и центральной квантовыми точками.
Двухкубитовая система оперировалась в соответствии со следующим условием:
EZ ≫ ∆ESTZ, ∆EQQZ ≫ JQQ ≫ JST, где:
EZ — зеемановская энергия;
∆ESTZ — разность зеемановской энергии между правой и центральной точками;
∆EQQZ — разность зеемановской энергии между левой и центральной точками;
JQQ — обменное взаимодействие между левой и центральной точками;
JST — обменное взаимодействие между правой и центральной точками.
В таком случае гамильтониан системы будет следующим:

где ^σLDz и ^σSTz это z-операторы Паули для LD и ST кубитов соответственно.

Изображение №2
Перед проведением испытания двухкубитового вентиля, как фактического примера работы гибридной системы, ученые провели калибровку силы межкубитового взаимодействия и его изменяемости посредством манипуляций с уровнями мощности.
Мужкубитовое взаимодействие в импульсном состоянии контролировалось посредством изменения энергии между (2,0,1) и (1,1,1) зарядовыми состояниями (2b). А для предотвращения потерь в вычислительных стояниях ST кубита межкубитовое обменное взаимодействие включалось и выключалось адиабатически посредством внедрения линейных изменений напряжения (максимум на 24 наносекунды).
Измерение когерентной прецессии ST кубита производилось посредством повторения импульсных состояний от D до H (изображение №2) без инициализации, контроля и измерений LD кубита, что делало последнего смесью |↑↓⟩ и |↓↑⟩ в случайном порядке.
На изображении 2b детально показана квантовая цепь, использованная в эксперименте по демонстрации возможностей контроля над частотой прецессии ST кубита посредством вводного состояния LD кубита. Использовав в качестве начального состояния либо |↑↓⟩, либо |↓↑⟩, была получена прецессия ST (2е, 2f).

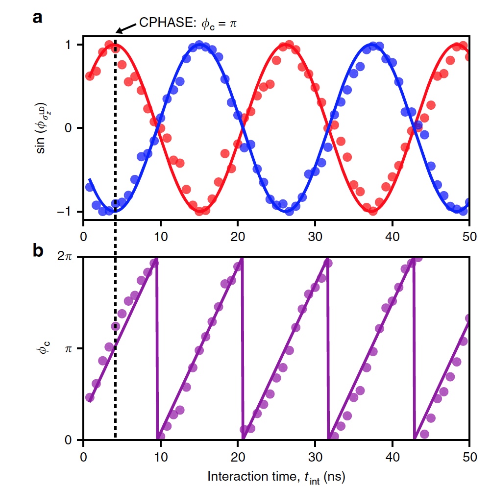
Изображение №3
На изображении 3а показана зависимость времени инициализации от фазы ϕσLD, на графике 3b уже показана контролируемая фаза ϕC = ϕ|↓〉 − ϕ|↑〉.
Наблюдения показали, что время, необходимое для испытываемого CPHASE вентиля, может составить 5.5 нс. Однако при этом время, полученное методом максимального правдоподобия, составило 211 нс. Ученые связывают это с тем, что более короткое время сбора данных, полученное здесь, «обрезает» низкочастотную составляющую спектра шума.

Изображение №4
Далее ученые продемонстрировали, что CPHASE вентиль способен работать абсолютно исправно даже при внедрении произвольных вводных состояний LD кубита. На изображении 4а показана квантовая цепь использованная для этого, в которой время имплементации является фиксированным для удовлетворения условия ϕC = π. При этом когерентное изначальное состояние LD кубита с произвольным σLD z подготавливается посредством электрического дипольного спинового резонанса.
Для более детального ознакомления с нюансами исследования (методами, расчетами, формулами и наблюдениями) настоятельно рекомендую заглянуть в доклад ученых [2] и дополнительные материалы [3] к нему.
Эпилог
Нет придела совершенству. Это утверждение, как бородатый анекдот, его уже все сто раз слышали, но оно продолжает оставаться актуальным. Квантовые вычисления хоть и обещают нам светлый новый мир, но для их реализации требуется еще не мало усилий приложить, исследований провести и вопросов решить.
Однако данное исследование приближает реализацию квантовых вычислений на практическом уровне на шаг ближе к реальности. Использование преимуществ разных типов кубитов в одной гибридной системе позволяет достичь не только высокой точности квантовых процессов, но и достаточно высокой скорости их выполнения. А такая комбинация всегда имела и будет иметь значение, какими бы ни были сами вычисления.
Спасибо, что остаётесь с нами. Вам нравятся наши статьи? Хотите видеть больше интересных материалов? Поддержите нас оформив заказ или порекомендовав знакомым, 30% скидка для пользователей Хабра на уникальный аналог entry-level серверов, который был придуман нами для Вас: Вся правда о VPS (KVM) E5-2650 v4 (6 Cores) 10GB DDR4 240GB SSD 1Gbps от $20 или как правильно делить сервер? [4] (доступны варианты с RAID1 и RAID10, до 24 ядер и до 40GB DDR4).
(KVM) E5-2650 v4 (6 Cores) 10GB DDR4 240GB SSD 1Gbps до весны бесплатно при оплате на срок от полугода, заказать можно тут [6].
Dell R730xd в 2 раза дешевле? Только у нас 2 х Intel Dodeca-Core Xeon E5-2650v4 128GB DDR4 6x480GB SSD 1Gbps 100 ТВ от $249 [7] в Нидерландах и США! Читайте о том Как построить инфраструктуру корп. класса c применением серверов Dell R730xd Е5-2650 v4 стоимостью 9000 евро за копейки? [8]
Автор: Dmytro_Kikot
Источник [9]
Сайт-источник PVSM.RU: https://www.pvsm.ru
Путь до страницы источника: https://www.pvsm.ru/fizika/304656
Ссылки в тексте:
[1] Источник: http://mmk74.ru/7-2-2-ustroystvo-refrizheratora-rastvoren.html
[2] доклад ученых: https://www.nature.com/articles/s41467-018-07522-1
[3] дополнительные материалы: https://static-content.springer.com/esm/art%3A10.1038%2Fs41467-018-07522-1/MediaObjects/41467_2018_7522_MOESM1_ESM.pdf
[4] Вся правда о VPS (KVM) E5-2650 v4 (6 Cores) 10GB DDR4 240GB SSD 1Gbps от $20 или как правильно делить сервер?: https://habr.com/company/ua-hosting/blog/347386/
[5] VPS: https://www.reg.ru/?rlink=reflink-717
[6] тут: https://ua-hosting.company/vpsnl
[7] 2 х Intel Dodeca-Core Xeon E5-2650v4 128GB DDR4 6x480GB SSD 1Gbps 100 ТВ от $249: https://ua-hosting.company/serversnl
[8] Как построить инфраструктуру корп. класса c применением серверов Dell R730xd Е5-2650 v4 стоимостью 9000 евро за копейки?: https://habr.com/company/ua-hosting/blog/329618/
[9] Источник: https://habr.com/post/435320/?utm_campaign=435320
Нажмите здесь для печати.